Curiosii for ever!: Car repair manuals for everyone.

Fuse Block: Testing and Inspection

INSPECTION




1. INSPECT ENGINE ROOM NO.1 JUNCTION BLOCK CIRCUIT




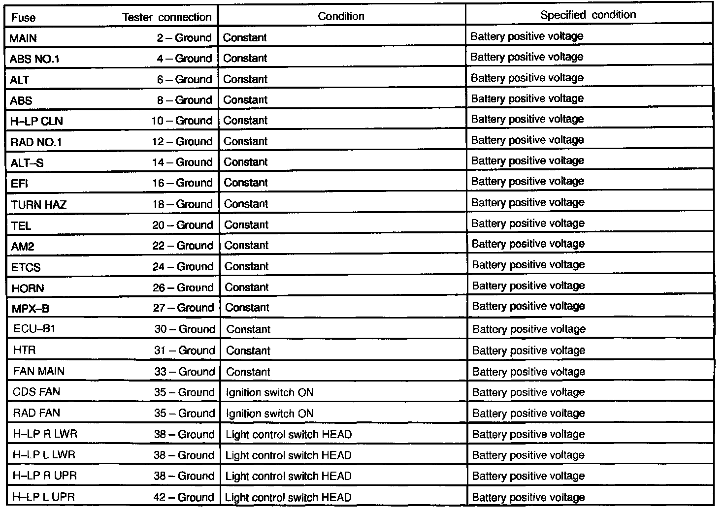
a. Remove the fuse from the junction block and inspect the connector on junction block side.




If the circuit is not as specified, inspect the circuits connected to other parts.

b. Remove the relay from the junction block and inspect the connector on junction block side.
If the circuit is not as specified, inspect the circuits connected to other parts.




2. INSPECT ENGINE ROOM No.3 RELAY BLOCK CIRCUIT
Remove the relay from the relay block and inspect the connector on relay block side.




If the circuit is not as specified, inspect the circuits connected to other parts.




3. INSPECT ENGINE ROOM No.2 RELAY BLOCK CIRCUIT
Remove the relay from the relay block and inspect the connector on relay block side.




If the circuit is not as specified, inspect the circuits connected to other parts.




4. INSPECT DRIVER SIDE JUNCTION BLOCK CIRCUIT




a. Remove the fuse from the junction block and inspect the connector on junction block side.
If the circuit is not as specified, inspect the circuits connected to other parts.




b. Remove the relay from the junction block and inspect the connector on junction block side.
If the circuit is not as specified, inspect the circuits connected to other parts.




5. INSPECT PASSENGER SIDE JUNCTION BLOCK CIRCUIT




a. Remove the fuse from the junction block and inspect the connector on junction block side.
If the circuit is not as specified, inspect the circuits connected to other parts.




b. Remove the relay from the junction block and inspect the connector on junction block side.
If the circuit is not as specified, inspect the circuits connected to other parts.




6. INSPECT PASSENGER COWL SIDE RELAY BLOCK CIRCUIT
Remove the relay from the relay block and inspect the connector on relay block side.




If the circuit is not as specified, inspect the circuits connected to other parts.