Curiosii for ever!: Car repair manuals for everyone.

Keyless Entry Transmitter: Service and Repair

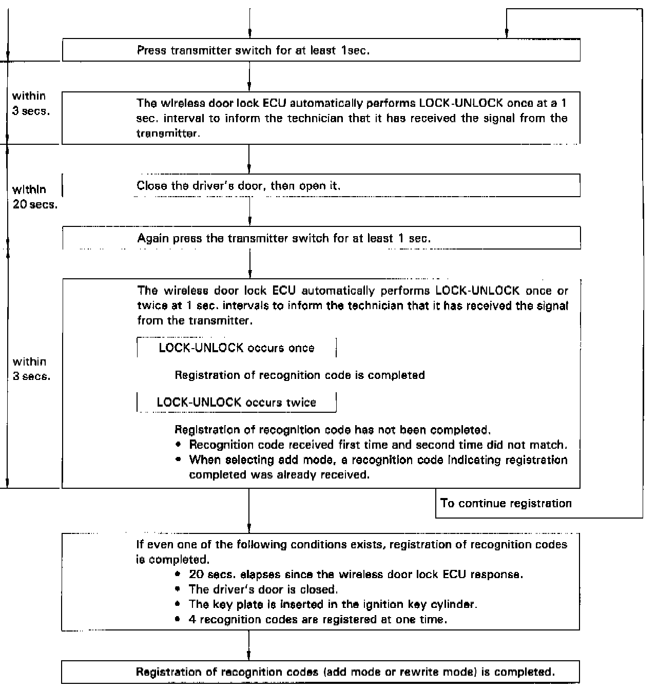
REGISTRATION OF RECOGNITION CODE


Reprogramming Code Flow Chart (1 Of 3):






Reprogramming Code Flow Chart (2 Of 3):






Reprogramming Code Flow Chart (3 Of 3):






Follow the flow chart to register the transmitter recognition code with the wireless door lock ECU.

Note: If the prescribed conditions are not entered while registering the transmitter code, the wireless door lock ECU returns to normal operation.

There are 4 modes: add mode, rewrite mode, confirmation mode and erase mode; the mode to use is decided after the recognition code is registered.

A maximum of 4 recognition codes can be registered.


The add mode is used to retain codes already registered while you register new recognition codes. However, if the number of registered codes exceeds 4 codes, previous registered codes are correspondingly erased in order, starting from the first registered code.

The rewrite mode is used to erase all previous registered codes before registering new recognition codes. This mode is used when replacing the transmitter or wireless door lock ECU.

The confirmation mode is for confirming how many recognition codes are already registered before you register additional recognition codes.

The erase mode is used to erase all registered modes and cancels the wireless door lock operation. Use this mode when the transmitter is lost.