Curiosii for ever!: Car repair manuals for everyone.

Throttle Position Sensor Signal

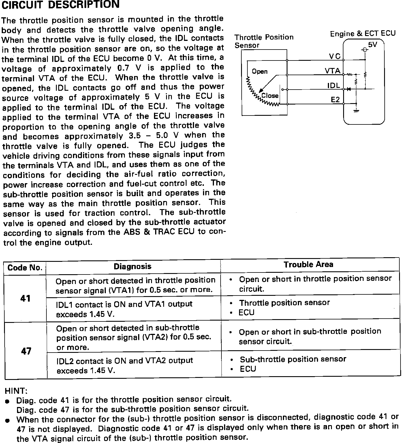
Fig. 22 Diagnostic Code 41 & 47 (Sub-throttle Position Sensor Circuit, Part 1 Of 4):



Fig. 22 Diagnostic Code 41 & 47 (Sub-throttle Position Sensor Circuit, Part 2 Of 4):



Fig. 22 Diagnostic Code 41 & 47 (Sub-throttle Position Sensor Circuit, Part 3 Of 4):



Fig. 22 Diagnostic Code 41 & 47 (Sub-throttle Position Sensor Circuit, Part 4 Of 4):