Curiosii for ever!: Car repair manuals for everyone.

Part 2



Electronic Engine Controls (Continued)

OXYGEN SENSORS
There are four oxygen sensors located in the exhaust system. Two upstream before the catalytic converter and two down stream after the catalytic converter. The sensor monitors the level of oxygen in the exhaust gases and is used to control the fuel/air mixture. Positioning a sensor in the stream of exhaust gasses from each bank enables the ECM to control the fuelling on each bank independently of the other, allowing much closer control of the air / fuel ratio and catalyst conversion efficiency.

Upstream Oxygen Sensors:




Downstream Oxygen Sensors:





The oxygen sensors need to operate at high temperatures in order to function correctly. To achieve the high temperatures required, the sensors are fitted with heater elements that are controlled by a PWM signal from the ECM. The heater elements are operated immediately following engine start and also during low load conditions when the temperature of the exhaust gases is insufficient to maintain the required sensor temperatures. A non-functioning heater delays the sensor s readiness for closed loop control and influences emissions. The PWM duty cycle is carefully controlled to prevent thermal shock to cold sensors.

UHEGO (Universal Heated Exhaust Gas Oxygen) sensors also known as Linear or 'Wide Band' sensors produces a constant voltage, with a variable current that is proportional to the oxygen content. This allows closed loop fuelling control to a target lambda, i.e. during engine warm up (after the sensor has reached operating temperature and is ready for operation). This improves emission control.

The HEGO sensor uses Zirconium technology that produces an output voltage dependant upon the ratio of exhaust gas oxygen to the ambient oxygen. The device contains a Galvanic cell surrounded by a gas permeable ceramic, the voltage of which depends upon the level of O2 defusing through. Nominal output voltage of the device for l =1 is 300 to 500m volts. As the fuel mixture becomes richer (l<1) the voltage tends towards 900m volts and as it becomes leaner (l>1) the voltage tends towards 0 volts. Maximum tip temperature is 1,000 Degree Celsius for a maximum of 100 hours.

Sensors age with mileage, increasing their response time to switch from rich to lean and lean to rich. This increase in response time influences the ECM closed loop control and leads to progressively increased emissions. Measuring the period of rich to lean and lean to rich switching monitors the response rate of the upstream sensors.

Diagnosis of electrical faults is continually monitored in both the upstream and downstream sensors. This is achieved by checking the signal against maximum and minimum threshold, for open and short circuit conditions.

Oxygen sensors must be treated with the utmost care before and during the fitting process. The sensors have ceramic material within them that can easily crack if dropped / banged or over-torqued. The sensors must be torqued to the required figure, (40-50Nm), with a calibrated torque wrench. Care should be taken not to contaminate the sensor tip when anti-seize compound is used on the thread. Heated sensor signal pins are tinned and universal are gold plated. Mixing up sensors could contaminate the connectors and affect system performance.

Failure Modes
^ Mechanical fitting & integrity of the sensor.
^ Sensor open circuit / disconnected.
^ Short circuit to vehicle supply or ground.
^ Lambda ratio outside operating band.
^ Crossed sensors bank A & B.
^ Contamination from leaded fuel or other sources.
^ Change in sensor characteristic.
^ Harness damage.
^ Air leak into exhaust system.

Failure Symptoms
Default to Open Loop fuelling for the particular cylinder bank
^ High CO reading.
^ Strong smell of H02S (rotten eggs) till default condition.
^ Excess Emissions.

It is possible to fit front and rear sensors in their opposite location. However the harness connections are of different gender and color to ensure that the sensors cannot be incorrectly connected. In addition to this the upstream sensors have two holes in the shroud, whereas the down stream sensors have four holes in the shroud for the gas to pass through.

GENERATOR
The Generator has a multifunction voltage regulator for use in a 14V charging system with 6 divided by 12 zener diode bridge rectifiers.

The ECM monitors the load on the electrical system via PWM signal and adjusts the generator output to match the required load. The ECM also monitors the battery temperature to determine the generator regulator set point. This characteristic is necessary to protect the battery; at low temperatures battery charge acceptance is very poor so the voltage needs to be high to maximize any rechargeability, but at high temperatures the charge voltage must be restricted to prevent excessive gassing of the battery with consequent water loss.

The Generator has a smart charge capability that will reduce the electrical load on the Generator reducing torque requirements, this is implemented to utilize the engine torque for other purposes. This is achieved by monitoring three signals to the ECM:
^ Generator sense (A sense), measures the battery voltage at the Central Junction Box(CJB).
^ Generator communication (Alt Com) communicates desired Generator voltage set point from ECM to Generator.
^ Generator monitor (Alt Mon) communicates the extent of Generator current draw to ECM. This signal also transmits faults to the ECM which will then sends a message to the instrument pack on the CAN bus to illuminate the charge warning lamp.

FUEL INJECTORS

Fuel Injectors:





The engine has 8 fuel injectors (one per cylinder), each injector is directly driven by the ECM. The injectors are fed by a common fuel rail as part of a returnless fuel system. The fuel rail pressure is regulated to 4.5 bar by a fuel pressure regulator which is integral to the fuel pump module, within the fuel tank. The injectors can be checked by resistance checks. There is a fuel pressure test Schrader valve attached to the fuel rail on the front LH side for fuel pressure testing purposes. The ECM monitors the output power stages of the injector drivers for electrical faults.

The injectors have a resistance of 13.8 Ohms ± 0.7 Ohms @ 20 Degree Celsius

IGNITION COILS

Ignition Coils:





The V8 engine is fitted with eight plug-top coils that are driven directly by the ECM. This means that the ECM, at the point where sufficient charge has built up, switches the primary circuit of each coil and a spark is produced in the spark plug. The positive supply to the coil is fed from a common fuse. Each coil contains a power stage to trigger the primary current. The ECM sends a signal to each of the coils power stage to trigger the power stage switching. Each bank has a feedback signal that is connected to each power stage. If the coil power stage has a failure the feedback signal is not sent, causing the ECM to store a fault code appropriate to the failure.

The ECM calculates the dwell time depending on battery voltage and engine speed to ensure constant secondary energy. This ensures sufficient secondary (spark) energy is always available, without excessive primary current flow thus avoiding overheating or damage to the coils.

The individual cylinder spark timing is calculated from a variety of inputs:
^ Engine speed and load.
^ Engine temperature.
^ Knock control.
^ Auto gearbox shift control.
^ Idle speed control.

FUEL PUMP RELAY
The V8 engine has a returnless fuel system. The system pressure is maintained at a constant 4 bar (59 Psi), with no reference to intake manifold pressure. The fuel is supplied to the injectors from a fuel pump fitted within the fuel tank. The electrical supply to this fuel pump is controlled by the ECM via a relay and an Inertia Switch which will turn the fuel off upon a vehicle impact. The fuel system is pressurized as soon as the ECM is powered up, the pump is then switched off until engine start has been achieved.

VISCOUS FAN CONTROL
The ECM controls a viscous coupled fan to provide engine cooling. The ECM supplies the fan with a PWM signal that controls the amount of slippage of the fan, thus providing the correct amount of cooling fan speed and airflow. The EMS uses a Hall Effect sensor to determine the fan speed.

VARIABLE VALVE TIMING (VVT)
Variable valve timing is used on the V8 engine to enhance low and high speed engine performance and idle speed quality.

For each inlet camshaft the VVT system comprises:
^ VVT unit
^ Valve timing solenoid

The VVT system alters the phase of the intake valves relative to the fixed timing of the exhaust valves, to alter:
^ The mass of air flow to the cylinders.
^ The engine torque response.
^ Emissions.

The VVT unit uses a vane type device to control the camshaft angle. The system operates over a range of 48 ° and is advanced or retarded to its optimum position within this range.

The VVT system is controlled by the ECM based on engine load and speed along with engine oil temperature to calculate the appropriate camshaft position.

The VVT system provides the following advantages:
^ Reduced engine emissions and improved fuel consumption which in turn improves the engines internal EGR effect over a wider operating range.
^ Enhanced full load torque characteristics.
^ Improved fuel economy through optimized torque over the engine speed range.

Variable Valve Timing Unit

Variable Valve Timing Unit:





The VVT unit is a hydraulic actuator mounted on the end of the inlet camshaft. The unit advances or retards the camshaft timing to alter the camshaft to crankshaft phase. The ECM controls the VVT timing unit via a oil control solenoid. The oil control solenoid routes oil pressure to the advance or retard chambers either side of the vanes within the VVT unit.

The VVT unit is driven by the primary drive chain and rotates relative to the exhaust camshaft. When the ECM requests a retard in camshaft timing the oil control solenoid is energized which moves the shuttle valve in the solenoid to the relevant position allowing oil pressure to flow out of the advance chambers in the VVT unit whilst simultaneously allowing oil pressure into the retard chambers.

The ECM controls the advancing and retarding of the VVT unit based on engine load and speed. The ECM sends an energize signal to the oil control solenoid until the desired VVT position is achieved. When the desired VVT position is reached, the energizing signal is reduced to hold the oil control solenoid position and consequently desired VVT position. This function is under closed loop control and the ECM can sense any variance in shuttle valve oil pressure via the camshaft position sensor and can adjust the energizing signal to maintain the shuttle valve hold position.

VVT operation can be affected by engine oil temperature and properties. At very low oil temperatures the movement of the VVT mechanism will be slow due to the high viscosity of the oil. While at high oil temperatures the low oil viscosity may impair the VVT operation at low oil pressures. The oil pump has the capacity to cope with these variations in oil pressure while an oil temperature sensor is monitored by the ECM to provide oil temperature feedback. At extremely high oil temperatures the ECM may limit the amount of VVT advance in order to prevent the engine from stalling when returning to idle speed.

VVT does not operate when engine oil pressure is below 1.25 bar. This is because there is insufficient pressure to release the VVT units internal stopper pin. This occurs when the engine is shut down and the VVT unit has returned to the retarded position. The stopper pin locks the VVT unit to the camshaft to ensure camshaft stability during the next start up.

Valve Timing Solenoid

Valve Timing Solenoid:





The valve timing solenoid controls the position of the shuttle valve in the bush carrier. A plunger on the solenoid extends when the solenoid is energized and retracts when the solenoid is de-energized.

When the valve timing solenoids are de-energized, the coil springs in the bush carriers position the shuttle valves to connect the valve timing units to drain. In the valve timing units, the return springs hold the ring pistons and gears in the retarded position. When the valve timing solenoids are energized by the ECM, the solenoid plungers position the shuttle valves to direct engine oil to the valve timing units. In the valve timing units, the oil pressure overcomes the force of the return springs and moves the gears and ring pistons to the advanced position. System response times are 1.0 second maximum for advancing and 0.7 second maximum for retarding. While the valve timing is in the retarded mode, the ECM produces a periodic lubrication pulse. This momentarily energizes the valve timing solenoids to allow a spurt of oil into the valve timing units. The lubrication pulse occurs once every 5 minutes.

EXHAUST GAS RECIRCULATION (EGR) VALVE

Exhaust Gas Recirculation Valve:





The Exhaust Gas Recirculation (EGR) valve is an electrically controlled valve that allows burned exhaust gas to be recirculated back into the engine. The EGR valve consists of a stepper motor that opens and closes the valve in steps. Since exhaust gas has much less oxygen than air, it is basically inert. It takes the place of air in the cylinder and reduces combustion temperature. As the combustion temperature is reduced, so are the oxides of nitrogen (NOx).

The EGR valve is located on the intake manifold with a pipe connecting the exhaust manifold to the valve. Connection between the sensor and the harness is via a six-way connector.

ECM ADAPTIONS
The ECM has the ability to adapt the values it uses to control certain outputs. This capability ensures the EMS can meet emissions legislation and improve the refinement of the engine throughout its operating range.

The components which have adaptions associated with them are:
^ The APP sensor
^ The HO2S
^ The MAF/IAT sensor
^ The CKP sensor
^ Electric throttle body.

UHEGO/HEGO and MAF/IAT Sensor
There are several adaptive maps associated with the fuelling strategy. Within the fuelling strategy the ECM calculates short-term adaptions and long term adaptions. The ECM will monitor the deterioration of the oxygen sensors (HEGO and UHEGO) over a period of time. It will also monitor the current correction associated with the sensors.

The ECM will store a fault code in circumstances where an adaption is forced to exceed its operating parameters. At the same time, the ECM will record the engine speed, engine load and intake air temperature.

CKP Sensor
The characteristics of the signal supplied by the CKP sensor are learned by the ECM. This enables the ECM to set an adaption and support the engine misfire detection function. Due to the small variation between different flywheels and different CKP sensors, the adaption must be reset if either component is renewed, or removed and refitted. It is also necessary to reset the flywheel adaption if the ECM is renewed or replaced. The ECM supports four flywheel adaptions for the CKP sensor. Each adaption relates to a specific engine speed range. The engine speed ranges are detailed in the table below:

Adaptions Engine Speed, rev/min
1 1800 - 3000
2 3001 - 3800
3 3801 - 4600
4 4601 - 5400

Misfire Detection
Legislation requires that the ECM must be able to detect the presence of an engine misfire. It must be able to detect misfires at two separate levels. The first level is a misfire that could lead to the vehicle emissions exceeding 1.5 times the Federal Test Procedure (FTP) requirements for the engine. The second level is a misfire that may cause catalyst damage.

The ECM monitors the number of misfire occurrences within two engine speed ranges. If the ECM detects more than a predetermined number of misfire occurrences within either of these two ranges, over two consecutive journeys, the ECM will record a fault code and details of the engine speed, engine load and engine coolant temperature. In addition, the ECM monitors the number of misfire occurrences that happen in a 'window' of 200 engine revolutions. The misfire occurrences are assigned a weighting according to their likely impact on the catalysts. If the number of misfires exceeds a certain value, the ECM stores catalyst-damaging fault codes, along with the engine speed, engine load and engine coolant temperature.

The signal from the crankshaft position sensor indicates how fast the poles on the flywheel are passing the sensor tip. A sine wave is generated each time a pole passes the sensor tip. The ECM can detect variations in flywheel speed by monitoring the sine wave signal supplied by the crankshaft position sensor.

By assessing this signal, the ECM can detect the presence of an engine misfire. At this time, the ECM will assess the amount of variation in the signal received from the crankshaft position sensor and assigns a roughness value to it. This roughness value can be viewed within the real time monitoring feature, using T4. The ECM will evaluate the signal against a number of factors and will decide whether to count the occurrence or ignore it. The ECM can assign a roughness and misfire signal for each cylinder, (i.e. identify which cylinder is misfiring).

T4 Diagnostics
The ECM stores faults as Diagnostic Trouble Codes (DTC), referred to as 'P' codes. The 'P' codes are defined by OBD legislation and, together with their associated environmental and freeze frame data, can be read using a third party scan tool or T4. T4 can also read real time data from each sensor, the adaptive values currently being employed and the current fuelling, ignition and idle settings.

DTC P0011 - P0082:




DTC P0083 - P0181:




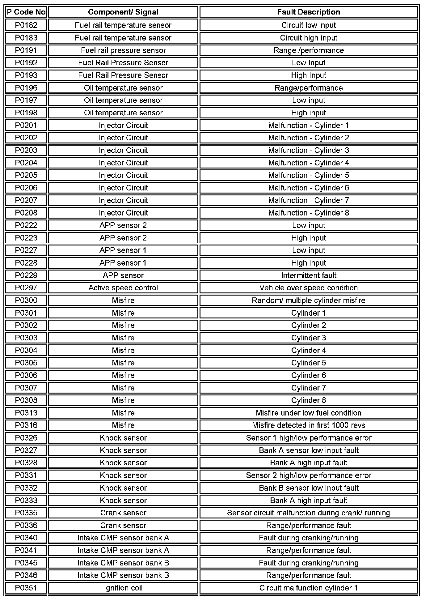
DTC P0182 - P0351:




DTC P0352 - P0570:




DTC P0574 - P1624:




DTC P1629 - P2636:





TERRAIN RESPONSE (TM)
Terrain Response (TM) system allows the driver to select a program which will provide the optimum settings for traction and performance for prevailing terrain conditions.

As part of Terrain Response (TM) there will be different throttle pedal progression maps associated with different Terrain Response (TM) modes. The two extremes are likely to be a sand map (quick build up of torque with pedal travel) and grass/gravel/snow (very cautious build up of torque).

The TdV6 implementation of throttle progression is based on a fixed blend time. The torque will blend from that on one map to that on the new map (for the same pedal position) over a fixed time. This means blending will always take the same amount of time but when the torque change is small the torque increase over time will be small, whilst if the torque change is greater then the torque increase over time will be steeper. The resulting acceleration of the vehicle will depend on the torque difference between the two maps as well as on the gear and range selected. The worst case blending that could ever occur has been calibrated to match the blend rate for petrol derivatives as closely as possible, so as to give a transparent behavior to customers.

CENTRAL JUNCTION BOX
The ECM is connected to ignition switch I and II. When the ignition is turned on 12V is applied to the Ignition Sense input. The ECM then starts its power up routines and turns on the ECM main relay; the main power to the ECM and it's associated system components. When the ignition is turned OFF the ECM will maintain its powered up state for up to 20 minutes while it initiates its power down routine and on completion will turn off the ECM main relay. The ECM will normally power down in approximately 60 seconds, do not disconcert the battery until the ECM is completely powered down.