Curiosii for ever!
: Car repair manuals for everyone.
Home
>>
Kia
>>
2006
>>
Optima V6-2.7L VIN 4
>>
Repair and Diagnosis
>>
Starting and Charging
>>
Battery
>>
Testing and Inspection
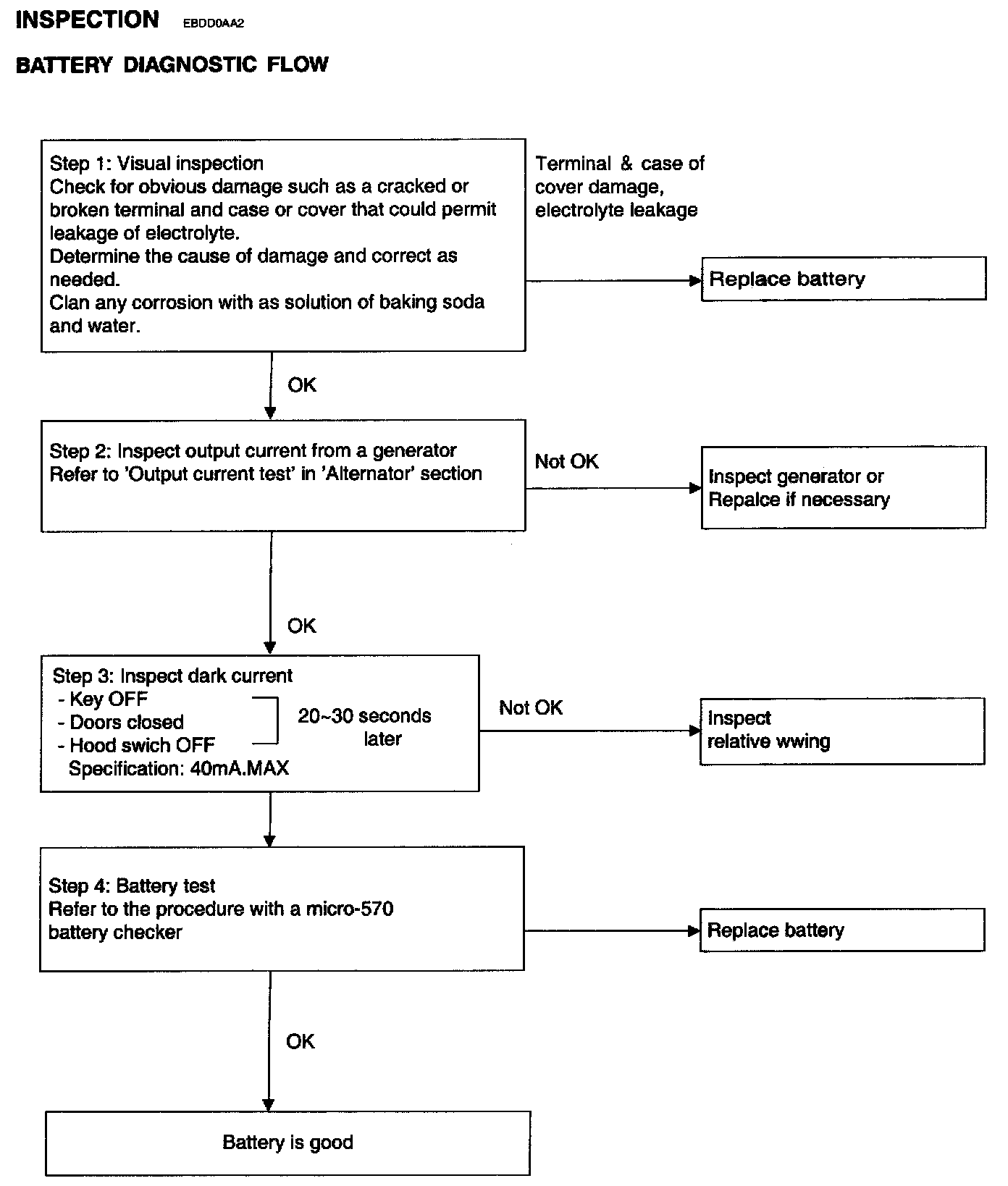
Battery: Testing and Inspection
Battery Diagnostic Flow: