Curiosii for ever!: Car repair manuals for everyone.

Specification Charts





General Specifications





Service Specifications





Torque Specifications





Lubricant





Sealants

WARNING: ALWAYS FOLLOW TORQUE TIGHTENING LEVELS. FAILURE TO FOLLOW SUCH LEVELS CAN RESULT IN PARTS BREAKING IF OVER-TIGHTENED OR LOOSENING IF UNDER-TIGHTENED. IN EITHER CASE, SERIOUS PERSONAL INJURY OR DEATH COULD RESULT TO THE VEHICLE OCCUPANTS.

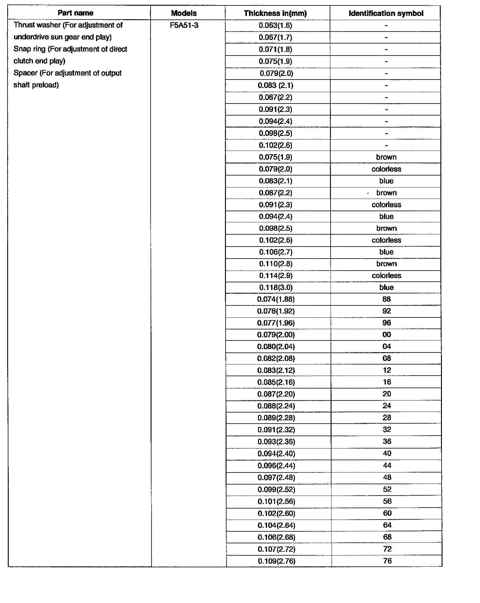
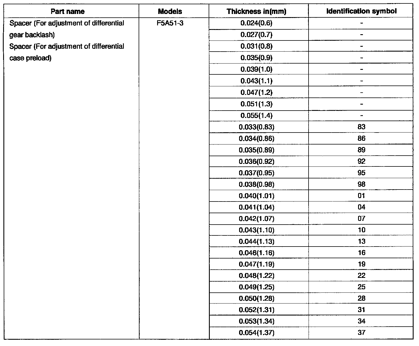
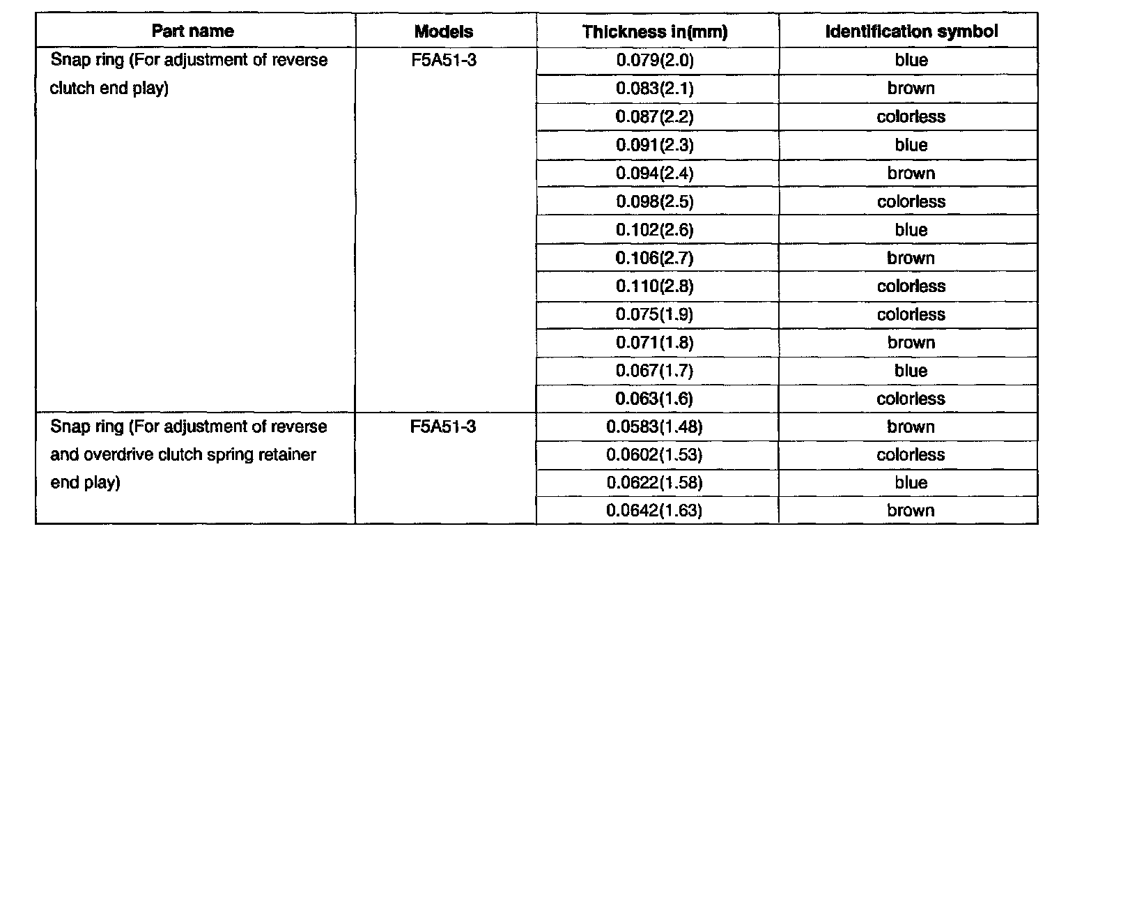
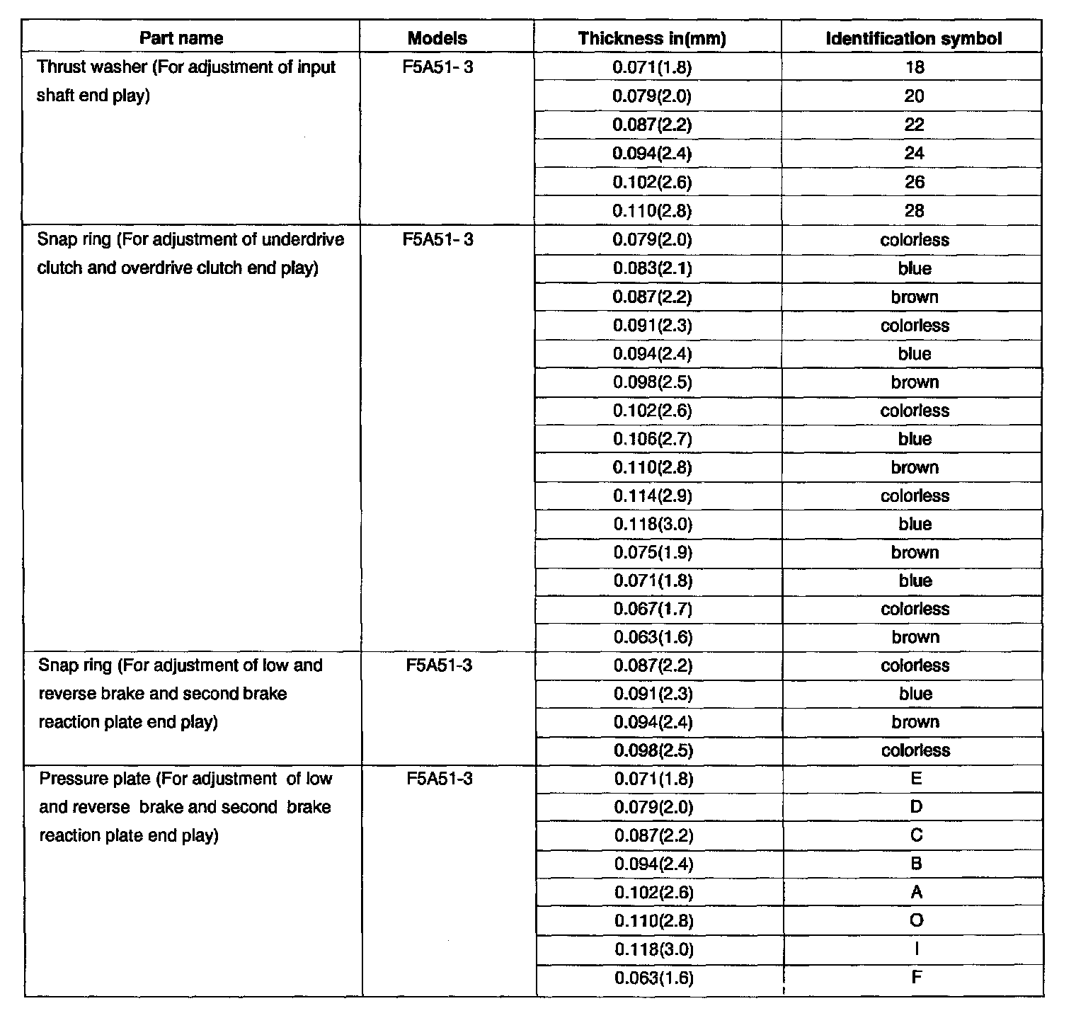
Snap ring, spacer, thrust washer and pressure plate





1 of 4





2 of 4





3 of 4





4 of 4