Curiosii for ever!: Car repair manuals for everyone.

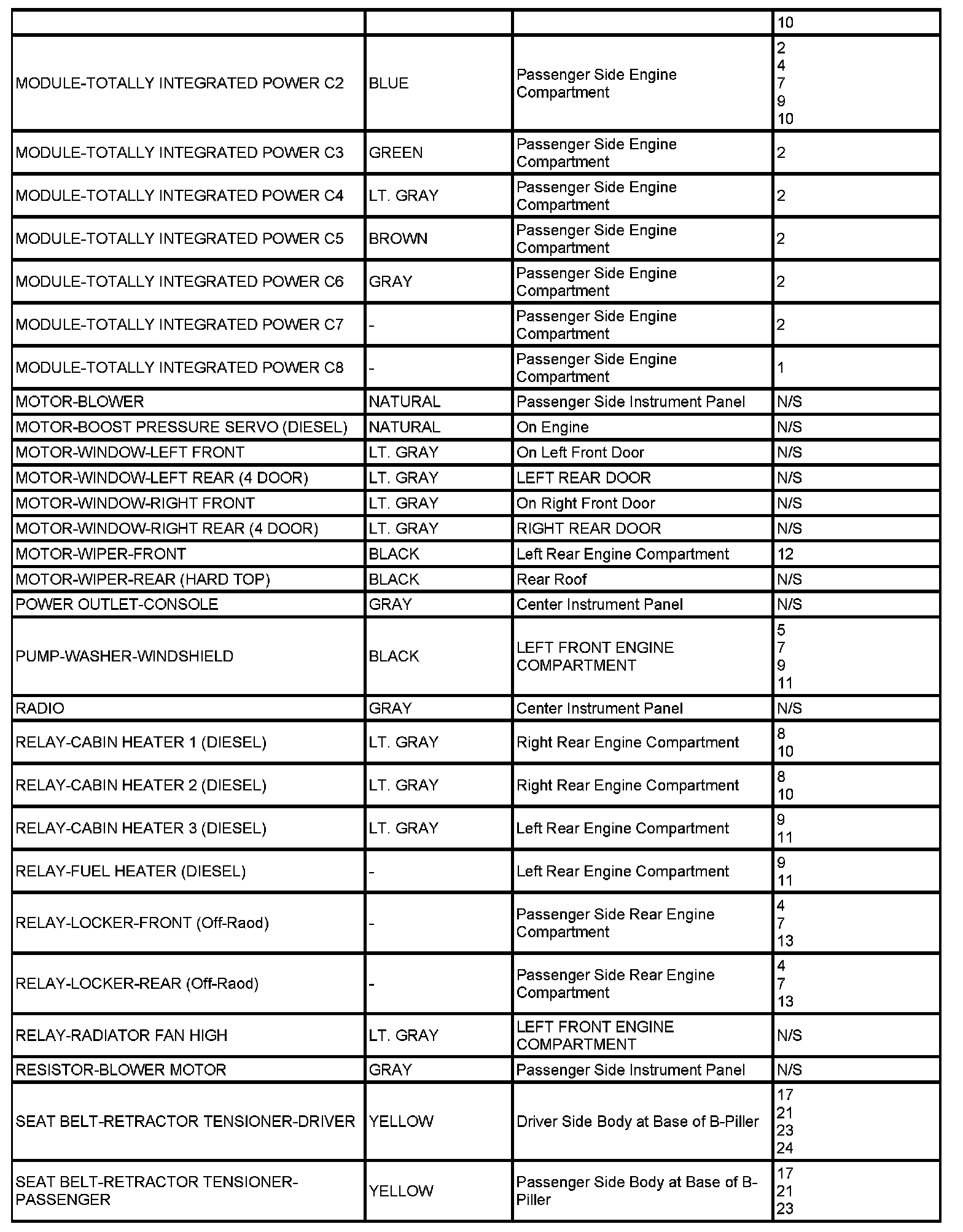
Connector Location Index

If a link on the index chart to a figure is not provided, that means that the connector and/or figure in question does NOT apply to the vehicle model selected.

The abbreviation T/O (Take Out) is used in the location column to indicate a point in which the wiring harness branches out to a component.

The abbreviation N/S means Not Shown in the illustrations.


Ac-C105:






C106-Ge:






Ge-La:






La-Mo:






Mo-Se:






Se-Se:






Se-Sw:






Sw-Wi: