Curiosii for ever!
: Car repair manuals for everyone.
Home
>>
Jaguar
>>
2007
>>
XK (X150) V8-4.2L SC
>>
Repair and Diagnosis
>>
Relays and Modules
>>
Relays and Modules - Lighting and Horns
>>
Headlamp Alignment Control Module
>>
Locations
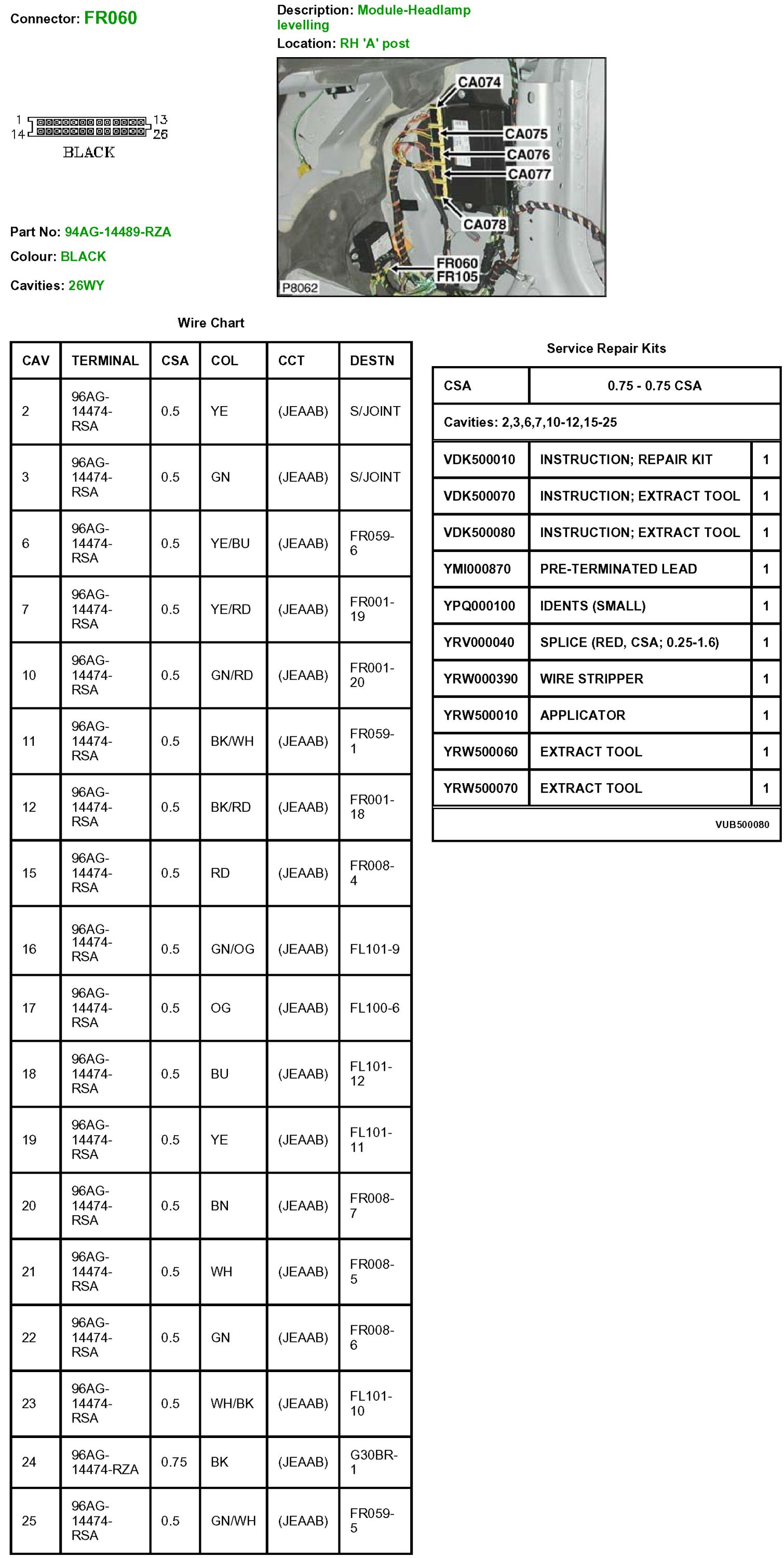
Headlamp Alignment Control Module: Locations
FR060:
FR105: