Curiosii for ever!
: Car repair manuals for everyone.
Home
>>
Isuzu Truck
>>
2006
>>
Ascender 4WD V8-5.3L
>>
Repair and Diagnosis
>>
Specifications
>>
Electrical Specifications
>>
Heating and Air Conditioning
Heating and Air Conditioning
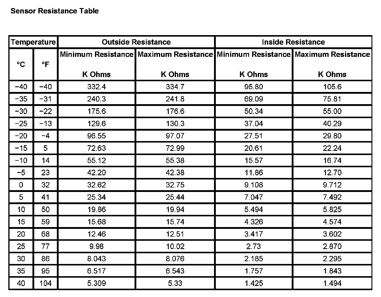
Sensor Resistance Table: