Curiosii for ever!
: Car repair manuals for everyone.
Home
>>
Isuzu Truck
>>
2004
>>
Ascender 2WD L6-4.2L
>>
Repair and Diagnosis
>>
Specifications
>>
Mechanical Specifications
>>
Engine
>>
System Specifications
>>
Thread Repair Specifications
>>
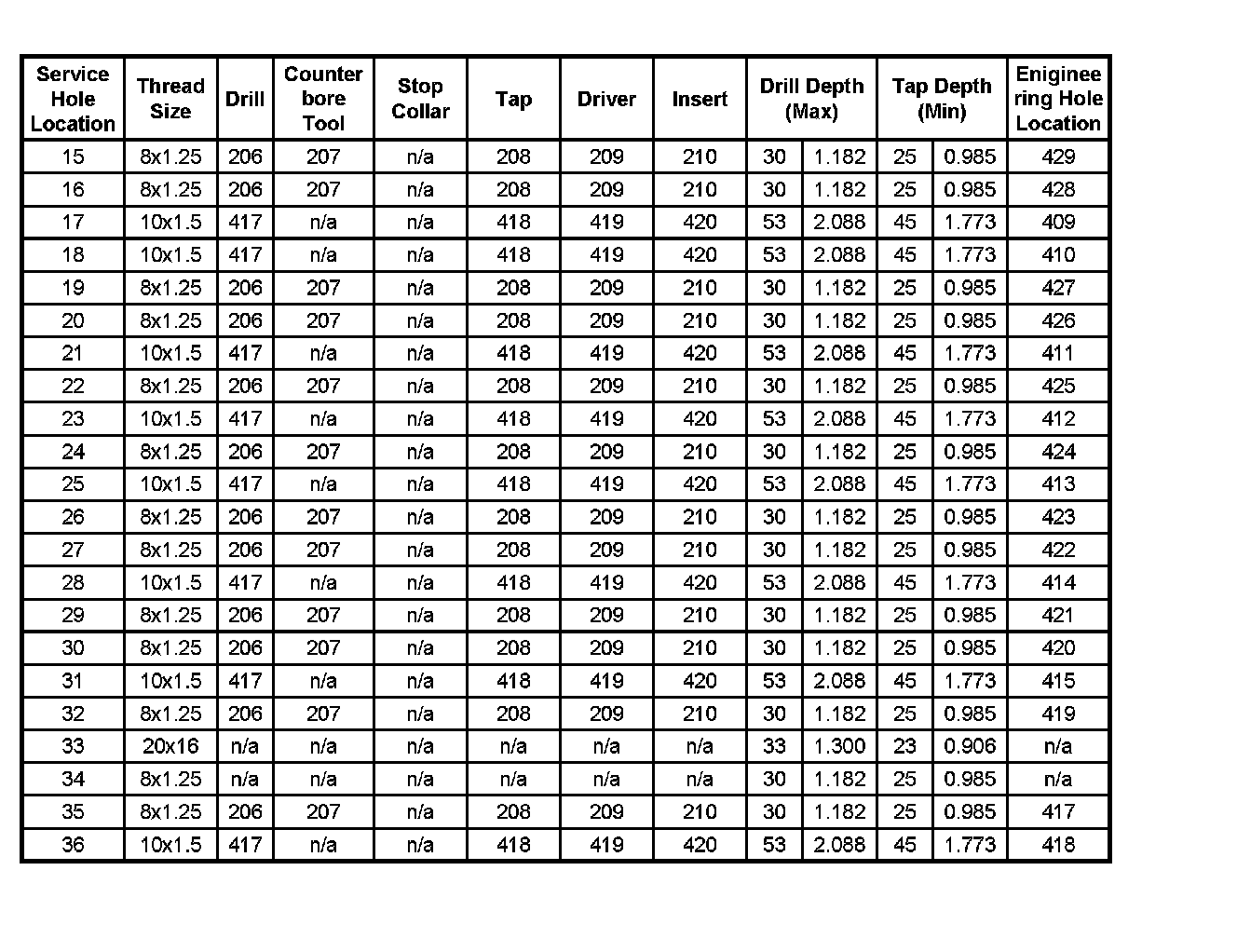
Engine Block - Bottom View
Engine Block - Bottom View
Engine Block - Bottom View