Curiosii for ever!: Car repair manuals for everyone.

7. Plotting Snapshot Graph





7. Plotting Snapshot Graph
This test selects several necessary items from the data list to plot graphs and makes data comparison on a long term basis. It is an effective test particularly in emission related evaluations.

For trouble diagnosis, you can collect graphic data (snap shot) directly from the vehicle.

You can replay the snapshot data as needed. Therefore, accurate diagnosis is possible, even though the vehicle is not available.

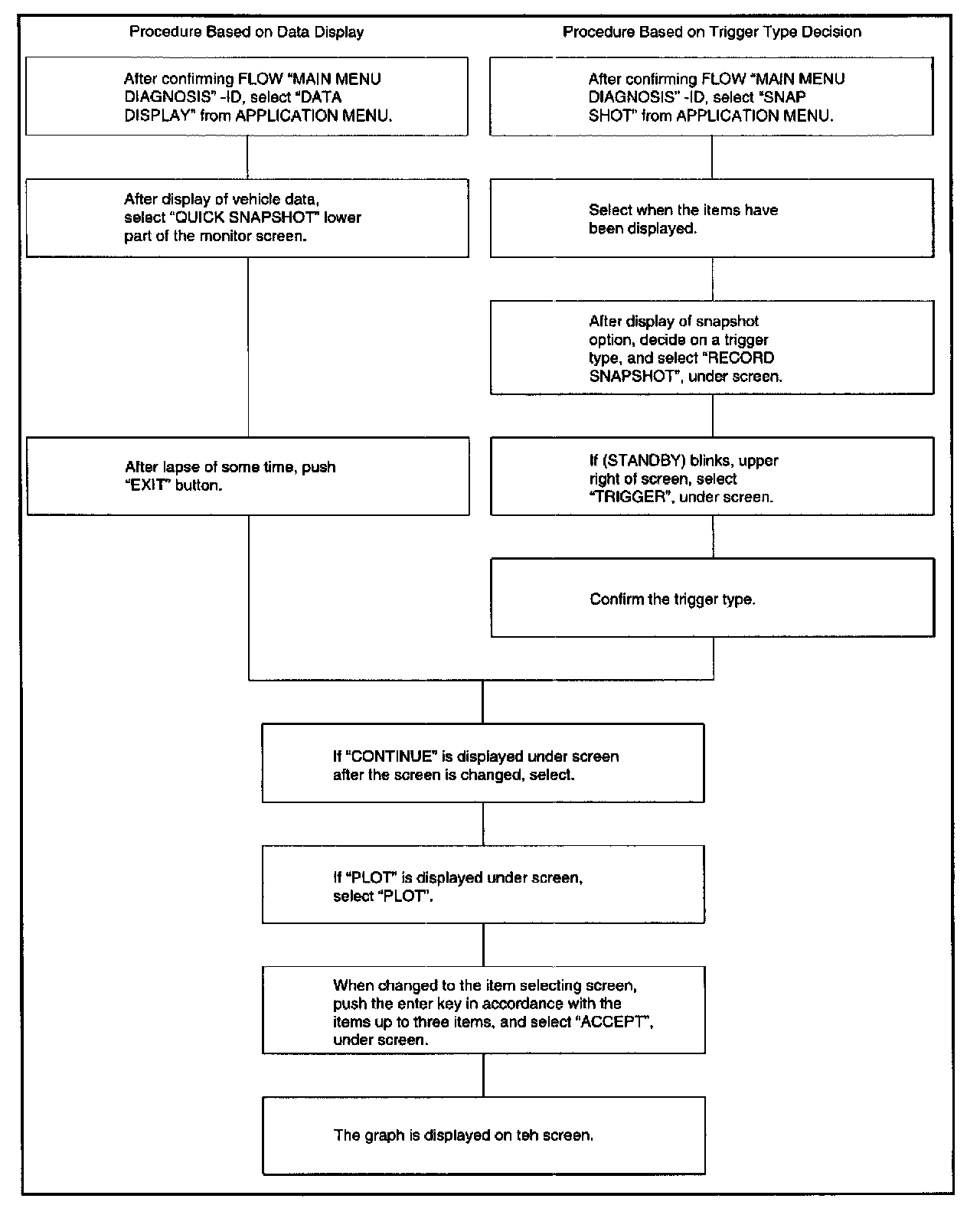
Plotting Graph Flow Chart (Plotting graph after obtaining vehicle information):






Flow Chart For Snapshot Replay (Plotting Graph):