Curiosii for ever!: Car repair manuals for everyone.

Knock Sensor: Testing and Inspection

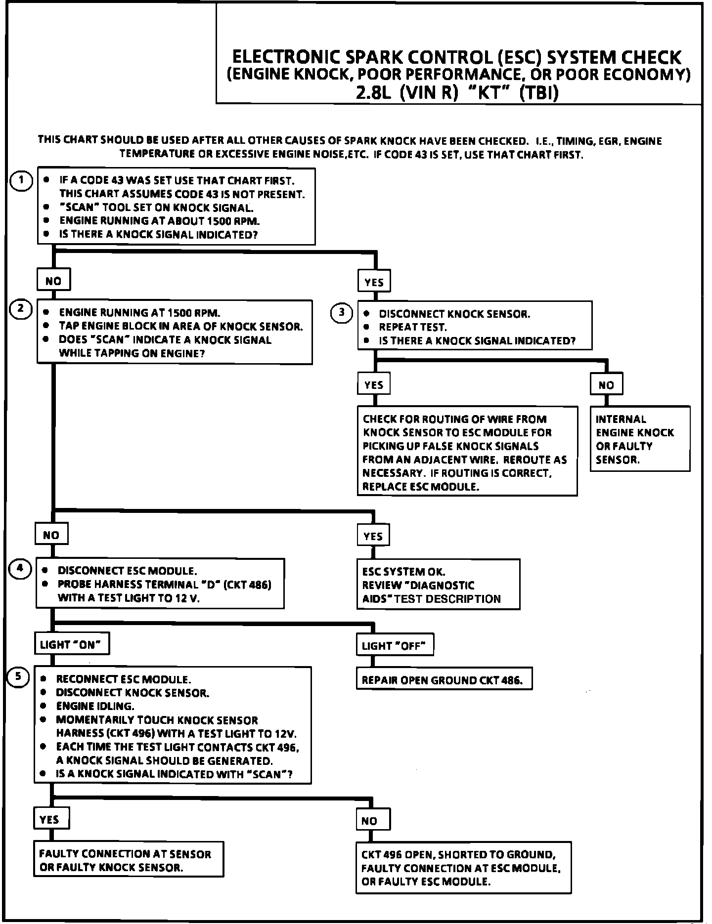
The knock sensor is an integral component of the Electronic Spark Control (ESC) System. As such, it is tested as part of the ESC System. Also refer to Code 43.

DIAGNOSTIC CHART

ESC System Diagnostic Chart:







TEST DESCRIPTION

ESC System Test Description: