Transmission Operating Mode Test
CIRCUIT DESCRIPTIONThe TCM controls 4L30-E normal operation in three modes: Power mode, Normal mode, and Winter mode. The driver determines the transmission operating mode through the Power mode switch and the Winter mode switch.
The Power mode provides better part-throttle acceleration by delaying part-throttle upshifts.
In Winter mode, the transmission starts in third gear to reduce tire slippage on ice and snow. When the driver selects Winter mode, the TCM overrides the Power or Normal mode. The TCM will enter Winter mode only when all of the following conditions are met:
- Selector lever in "D" range
- Vehicle speed 6 mph (10 km/h) or less
- Transmission oil temperature 266°F (130°C) or less for 2.8 L and 3.1 L engine models, 284°F (140°C) or less for 3.2 L engine model
- Throttle opening 7% or less
Winter mode will be canceled if any of the following conditions are met:
- Driver depresses Winter mode switch
- Driver moves selector lever to P, 3, 2, or L (TCM will stay in Winter mode if lever is moved from D to N or R)
- Ignition switch is turned off
- Vehicle speed is 19 mph (30 km/h) or more for longer than one second
- Transmission oil temperature is greater than 266°F (130°C) or less for 2.8L and 3.1L engine models, 284°F (140°C) or less for 3.2L engine model
- Kickdown switch is on for more than 3 seconds
When Winter mode is canceled, the TCM operates the transmission in Normal mode.
CIRCUIT DIAGRAM
Trans. Operating Mode Circuit:
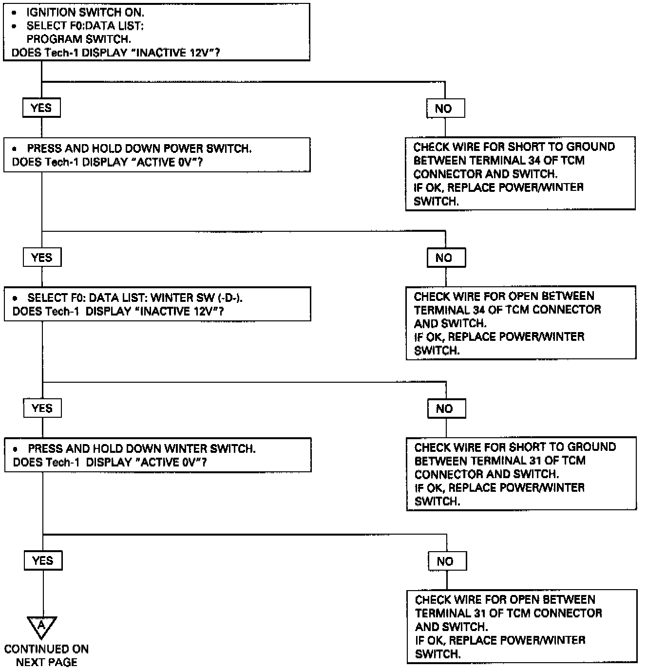
TRANS. OPERATING MODE TEST DIAGNOSTIC CHART
Part 1
Trans. Operating Mode Diagnostic Chart (Part 1):
Part 2