Curiosii for ever!
: Car repair manuals for everyone.
Home
>>
Infiniti
>>
2013
>>
G37 Convertible V6-3.7L (VQ37VHR)
>>
Repair and Diagnosis
>>
Transmission and Drivetrain
>>
Automatic Transmission/Transaxle
>>
Locations
>>
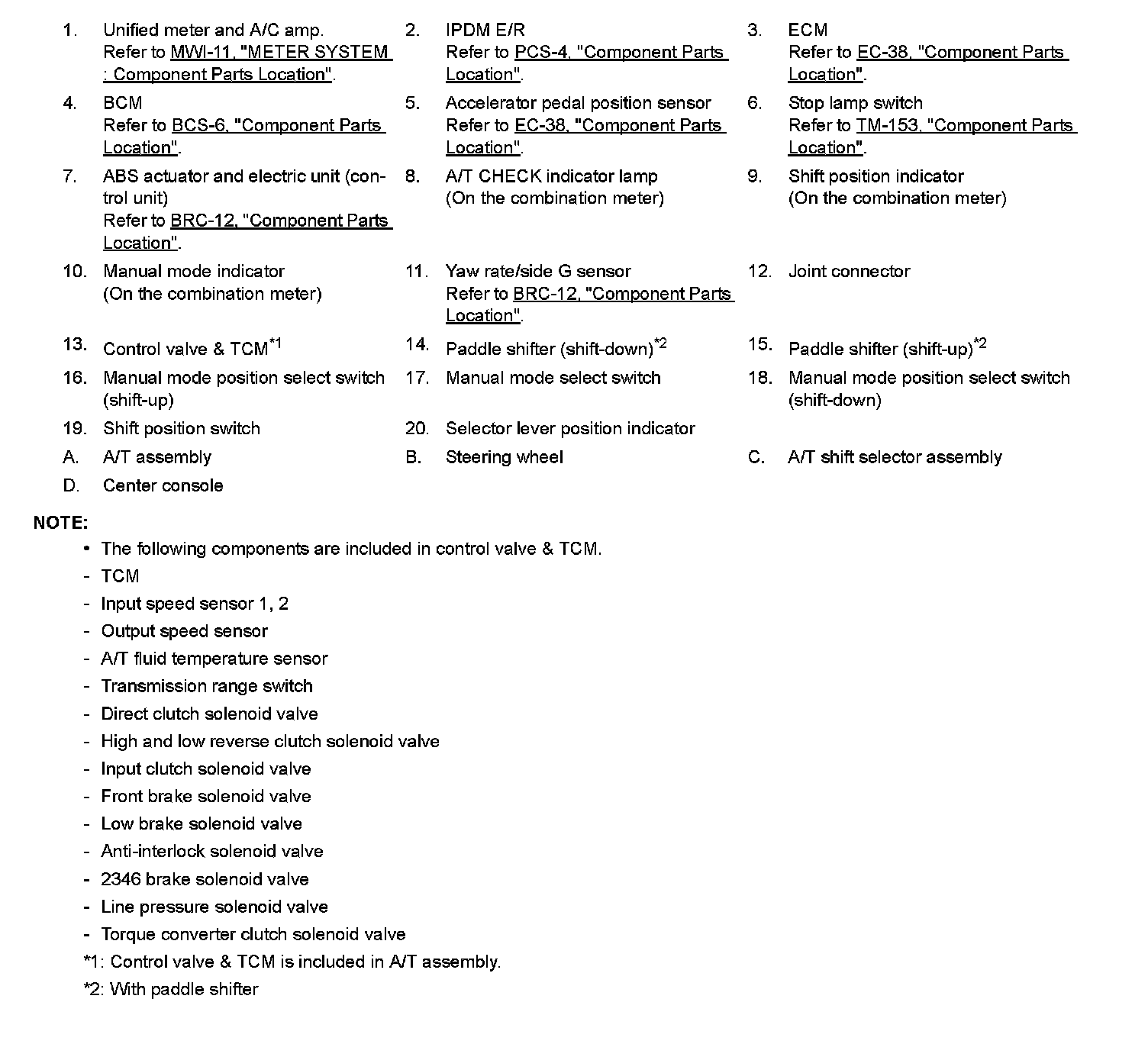
Shift Pattern Control Manual Mode
Shift Pattern Control Manual Mode
SHIFT PATTERN CONTROL
MANUAL MODE : Component Parts Location