Curiosii for ever!: Car repair manuals for everyone.

CONSULT Function




DIAGNOSIS SYSTEM (BCM)

COMMON ITEM : CONSULT Function (BCM - COMMON ITEM)


APPLICATION ITEM

CONSULT performs the following functions via CAN communication with BCM.






SYSTEM APPLICATION

BCM can perform the following functions for each system.
NOTE:
It can perform the diagnosis modes except the following for all sub system selection items.
�: Applicable item






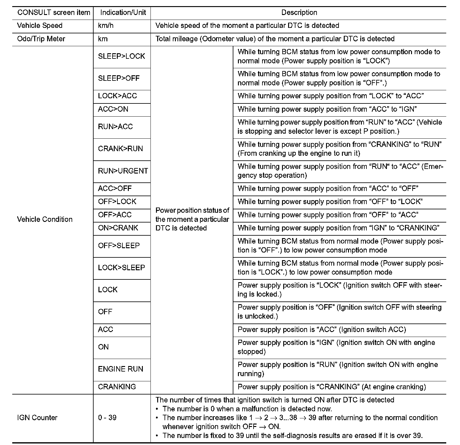
FREEZE FRAME DATA (FFD)

The BCM records the following vehicle condition at the time a particular DTC is detected, and displays on
CONSULT.