Curiosii for ever!: Car repair manuals for everyone.

Work Flow




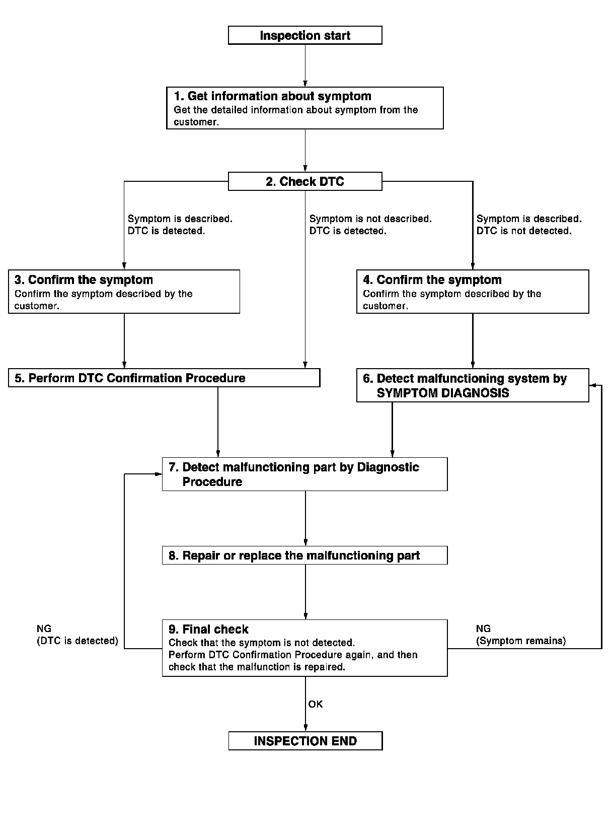
DIAGNOSIS AND REPAIR WORK FLOW

Work Flow


OVERALL SEQUENCE







DETAILED FLOW


1. GET INFORMATION ABOUT SYMPTOM

Get detailed information from the customer about the symptom (the condition and the environment when the incident/malfunction occurs).
- GO TO 2.

2. CHECK DTC

1.Check DTC for BCM and IPDM E/R.
2.Perform the following procedure if DTC is displayed.
-Record DTC and freeze frame data (Print them out with CONSULT-III.)
-Erase DTC.
-Study the relationship between the cause detected by DTC and the symptom described by the customer.
3.Check related service bulletins for information.
Are any symptoms described and any DTC detected?
Symptom is described, DTC is displayed-GO TO 3.
Symptom is described, DTC is not displayed-GO TO 4.
Symptom is not described, DTC is displayed-GO TO 5.

3. CONFIRM THE SYMPTOM

Confirm the symptom described by the customer.
Connect CONSULT-III to the vehicle in the "DATA MONITOR" mode and check real time diagnosis results.
Verify relation between the symptom and the condition when the symptom is detected.
- GO TO 5.

4. CONFIRM THE SYMPTOM

Confirm the symptom described by the customer.
Connect CONSULT-III to the vehicle in the "DATA MONITOR " mode and check real time diagnosis results.
Verify relation between the symptom and the condition when the symptom is detected.
- GO TO 6.

5. PERFORM DTC CONFIRMATION PROCEDURE

Perform DTC Confirmation Procedure for the displayed DTC, and then check that DTC is detected again.
At this time, always connect CONSULT-III to the vehicle, and check diagnostic results in real time.
If two or more DTCs are detected, Body Control System (BCM), and determine trouble diagnosis order.
NOTE:
Perform Component Function Check if DTC Confirmation Procedure is not included in Service Manual. This simplified check procedure is an effective alternative, although DTC cannot be detected during this check.
If the result of Component Function Check is NG, it is the same as the detection of DTC by DTC Confirmation
Procedure.
Is DTC detected?
YES- GO TO 7.
NO- Intermittent Incident.

6. DETECT MALFUNCTIONING SYSTEM BY SYMPTOM DIAGNOSIS

Detect malfunctioning system according to SYMPTOM DIAGNOSIS based on the confirmed symptom in step
4, and determine the trouble diagnosis order based on possible causes and symptom.
- GO TO 7.

7. DETECT MALFUNCTIONING PART BY DIAGNOSTIC PROCEDURE

Inspect according to Diagnostic Procedure of the system.
NOTE:
The Diagnostic Procedure described based on open circuit inspection. A short circuit inspection is also required for the circuit check in the Diagnostic Procedure.
Is malfunctioning part detected?
YES- GO TO 8.
NO- Check voltage of related BCM terminals using CONSULT-III.

8. REPAIR OR REPLACE THE MALFUNCTIONING PART

1.Repair or replace the malfunctioning part.
2.Reconnect parts or connectors disconnected during Diagnostic Procedure again after repair and replacement.
3.Check DTC. If DTC is displayed, erase it.
- GO TO 9.

9. FINAL CHECK

When DTC was detected in step 2, perform DTC Confirmation Procedure or Component Function Check again, and then check that the malfunction is repaired securely.
When symptom was described by the customer, refer to confirmed symptom in step 3 or 4, and check that the symptom is not detected.
Does the symptom reappear?
YES (DTC is detected)-GO TO 7.
YES (Symptom remains)-GO TO 6.
NO- INSPECTION END