Curiosii for ever!
: Car repair manuals for everyone.
Home
>>
Infiniti
>>
2012
>>
G37 Convertible V6-3.7L (VQ37VHR)
>>
Repair and Diagnosis
>>
Body and Frame
>>
Locks
>>
Keyless Entry
>>
Testing and Inspection
>>
Scan Tool Testing and Procedures
>>
Intelligent Key
Intelligent Key
DIAGNOSIS SYSTEM (BCM)
INTELLIGENT KEY : CONSULT-III Function (BCM - INTELLIGENT KEY)
WORK SUPPORT
SELF-DIAG RESULT
Testing and Inspection
.
DATA MONITOR
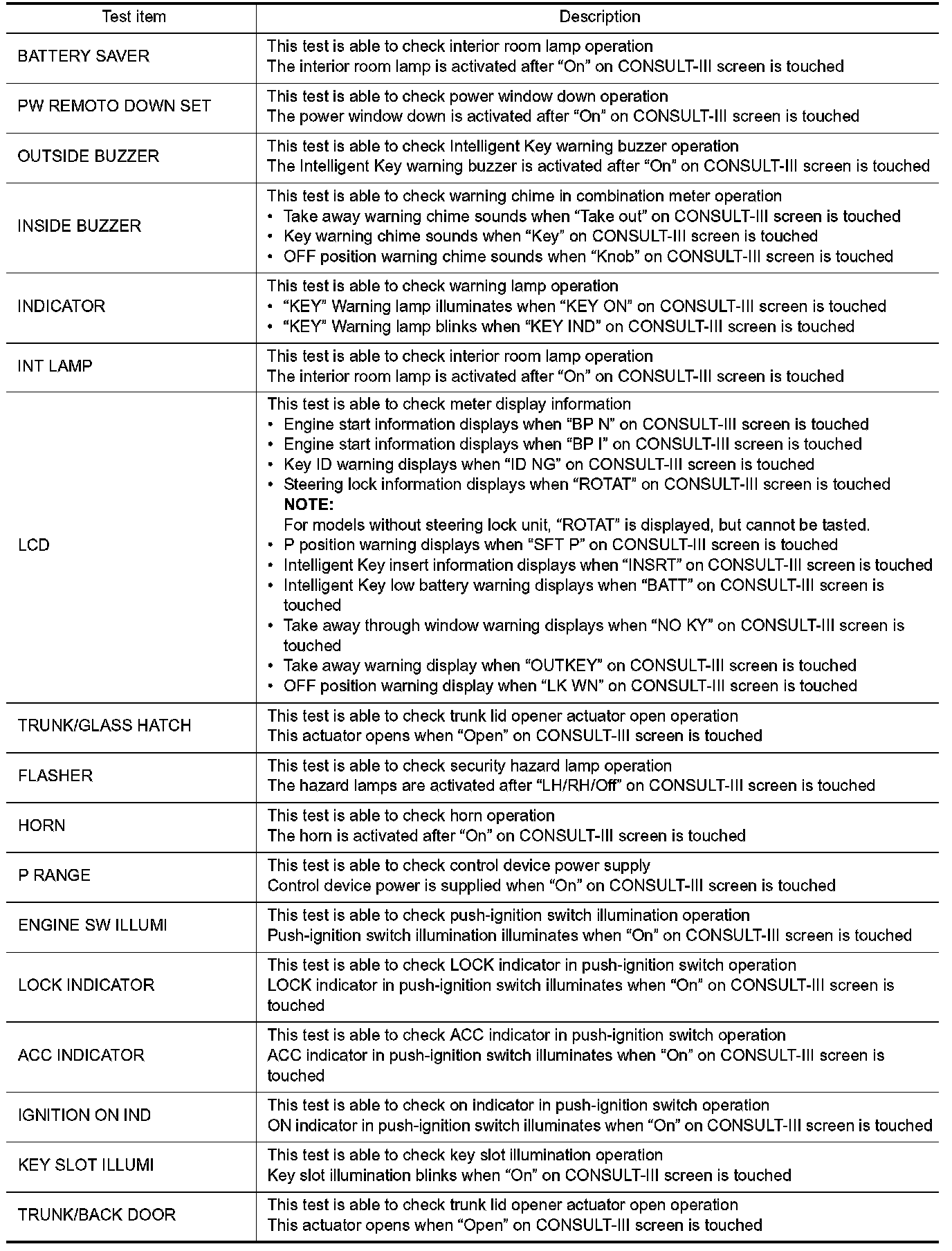
ACTIVE TEST