Curiosii for ever!: Car repair manuals for everyone.

Common Item





DIAGNOSIS SYSTEM (BCM)


COMMON ITEM : CONSULT-III Function (BCM - COMMON ITEM)


APPLICATION ITEM
CONSULT-III performs the following functions via CAN communication with BCM.






SYSTEM APPLICATION
BCM can perform the following functions for each system.

NOTE:
It can perform the diagnosis modes except the following for all sub system selection items.






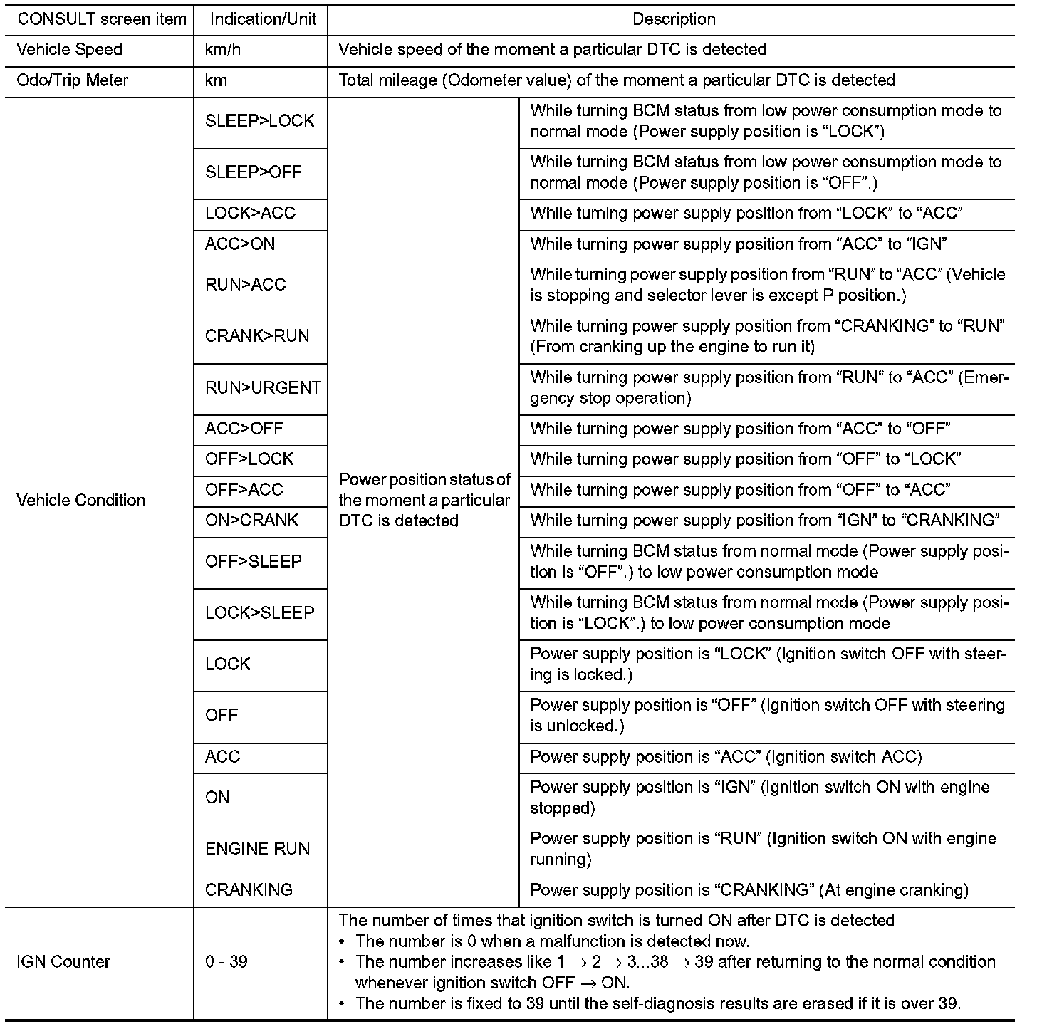
FREEZE FRAME DATA (FFD)
The BCM records the following vehicle condition at the time a particular DTC is detected, and displays on
CONSULT-III.