Curiosii for ever!: Car repair manuals for everyone.

CONSULT-III Functions (Intelligent Key)





INTELLIGENT KEY SYSTEM/ENGINE START FUNCTION


CONSULT-III Functions (INTELLIGENT KEY)

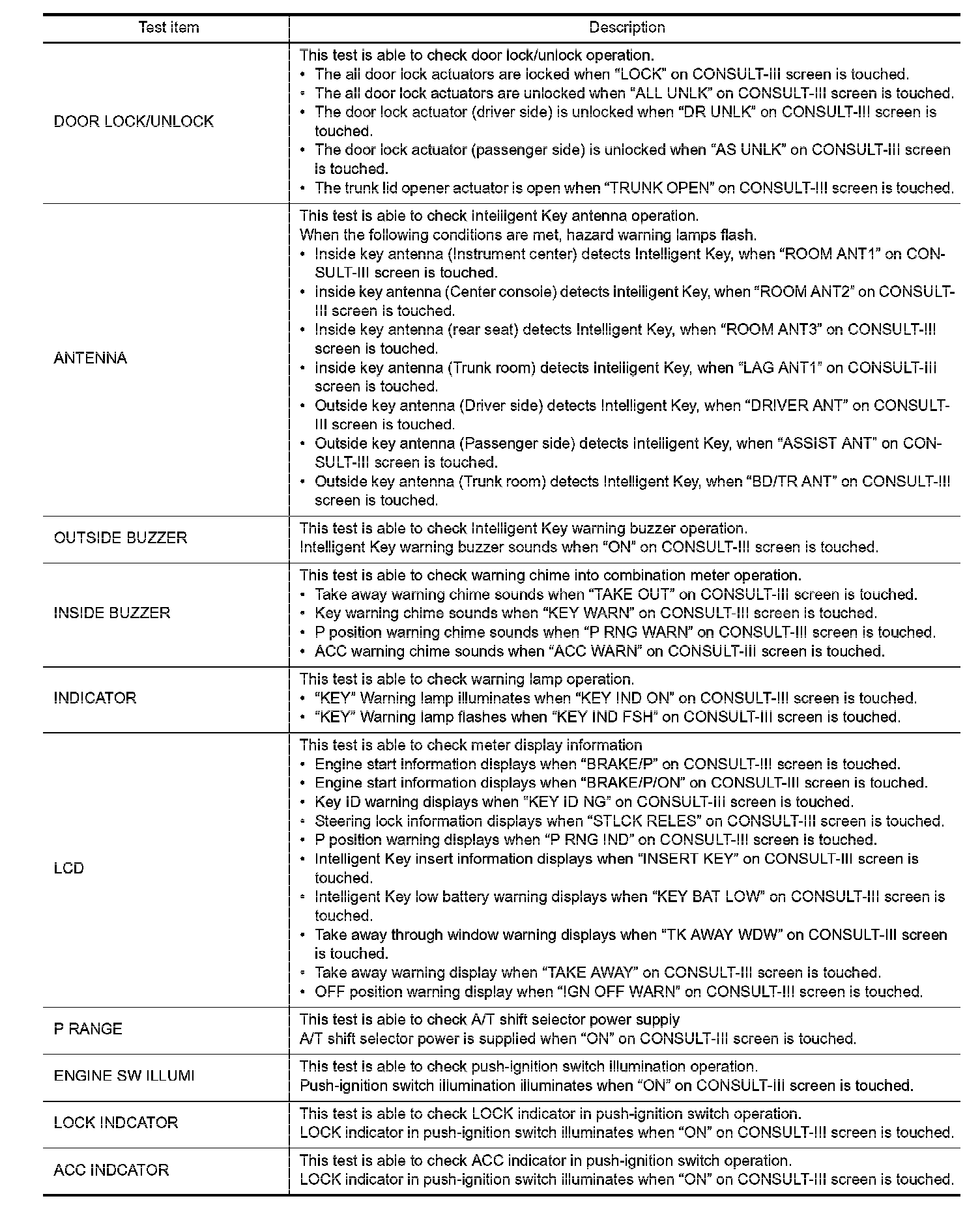
CONSULT-III can display each diagnostic item using the diagnostic test modes as shown below.






SELF-DIAGNOSTIC RESULTS






DATA MONITOR






WORK SUPPORT











ACTIVE TEST