Curiosii for ever!: Car repair manuals for everyone.

How to Set SRT Code





ON BOARD DIAGNOSTIC (OBD) SYSTEM


Emission-Related Diagnostic Information


EMISSION-RELATED DIAGNOSTIC INFORMATION ITEMS

Emission-Related Diagnostic Information Items (Part 1):






Emission-Related Diagnostic Information Items (Part 2):






Emission-Related Diagnostic Information Items (Part 3):






Emission-Related Diagnostic Information Items (Part 4):






Emission-Related Diagnostic Information Items (Part 5):






DTC AND 1ST TRIP DTC
The 1st trip DTC (whose number is the same as the DTC number) is displayed for the latest self-diagnostic result obtained. If the ECM memory was cleared previously, and the 1st trip DTC did not recur, the 1st trip DTC will not be displayed.
If a malfunction is detected during the 1st trip, the 1st trip DTC is saved in the ECM memory. The MIL will not illuminate (two trip detection logic). If the same malfunction is not detected in the 2nd trip (meeting the required driving pattern), the 1st trip DTC is cleared from the ECM memory. If the same malfunction is detected in the
2nd trip, both the 1st trip DTC and DTC are stored in the ECM memory and the MIL illuminates. In other words, the DTC is stored in the ECM memory and the MIL illuminates when the same malfunction occurs in two consecutive trips. If a 1st trip DTC is saved and a non-diagnostic operation is performed between the 1st and 2nd trips, only the 1st trip DTC will continue to be stored. For malfunctions that blink or illuminate the MIL during the 1st trip, the DTC and 1st trip DTC are stored in the ECM memory.
Procedures for clearing the DTC and the 1st trip DTC from the ECM memory are described in "HOW TO
ERASE EMISSION-RELATED DIAGNOSTIC INFORMATION".
For malfunctions in which 1st trip DTCs are displayed, refer to "EMISSION-RELATED DIAGNOSTIC INFORMATION ITEMS". These items are required by legal regulations to continuously monitor the system/component. In addition, the items monitored non-continuously are also displayed on CONSULT-III.
1st trip DTC is specified in Service $07 of SAE J1979. 1st trip DTC detection occurs without lighting up the MIL and therefore does not warn the driver of a malfunction. However, 1st trip DTC detection will not prevent the vehicle from being tested, for example during Inspection/Maintenance (I/M) tests.
When a 1st trip DTC is detected, check, print out or write down and erase (1st trip) DTC and Freeze Frame data as specified in Work Flow procedure Step 2, refer to Trouble Diagnosis Introduction. Then perform DTC Confirmation Procedure or Overall Function Check to try to duplicate the malfunction. If the malfunction is duplicated, the item requires repair.

How to Read DTC and 1st Trip DTC
DTC and 1st trip DTC can be read by the following methods.
With CONSULT-III
CONSULT-III displays the DTC in "Self Diagnostic Result" mode. Examples: P0340, P0850, P1148, etc.
These DTCs are prescribed by SAE J2012.
(CONSULT-III also displays the malfunctioning component or system.)
Time data indicates how many times the vehicle was driven after the last detection of a DTC.
If the DTC is being detected currently, the time data will be [0].
If a 1st trip DTC is stored in the ECM, the time data will be [1t].
With GST
GST (Generic Scan Tool) displays the DTC in Diagnostic Service $03. Examples: P0340, P0850, P1148, etc.
These DTCs are prescribed by SAE J2012.
No Tools
The number of blinks of the MIL in the Diagnostic Test Mode II (Self-Diagnostic Results) indicates the DTC.
Example: 0340, 0850, 1148, etc.
These DTCs are controlled by NISSAN.
- 1st trip DTC No. is the same as DTC No.
- Output of a DTC indicates a malfunction. However, GST or the Diagnostic Test Mode II does not indicate whether the malfunction is still occurring or has occurred in the past and has returned to normal. CONSULT-III can identify malfunction status. Therefore, using CONSULT-III (if available) is recommended.

FREEZE FRAME DATA AND 1ST TRIP FREEZE FRAME DATA
The ECM records the driving conditions such as fuel system status, calculated load value, engine coolant temperature, short term fuel trim, long term fuel trim, engine speed, vehicle speed, absolute throttle position, base fuel schedule and intake air temperature at the moment a malfunction is detected.
Data which are stored in the ECM memory, along with the 1st trip DTC, are called 1st trip freeze frame data.
The data, stored together with the DTC data, are called freeze frame data and displayed on CONSULT-III or
GST. The 1st trip freeze frame data can only be displayed on the CONSULT-III screen, not on the GST. For details, see Consult-III Function.
Only one set of freeze frame data (either 1st trip freeze frame data or freeze frame data) can be stored in the ECM. There is no priority for 1st trip freeze frame data and it is updated each time a different 1st trip DTC is detected. However, once freeze frame data (2nd trip detection/MIL illuminates) is stored in the ECM memory, 1st trip freeze frame data is no longer stored. Remember, only one set of freeze frame data can be stored in the ECM. The ECM has the following priorities to update the data.





For example, the EGR malfunction (Priority: 2) was detected and the freeze frame data was stored in the 2nd trip. After that when the misfire (Priority: 1) is detected in another trip, the freeze frame data will be updated from the EGR malfunction to the misfire. The 1st trip freeze frame data is updated each time a different malfunction is detected. There is no priority for 1st trip freeze frame data. However, once freeze frame data is stored in the ECM memory, 1st trip freeze data is no longer stored (because only one freeze frame data or 1st trip freeze frame data can be stored in the ECM). If freeze frame data is stored in the ECM memory and freeze frame data with the same priority occurs later, the first (original) freeze frame data remains unchanged in the ECM memory.
Both 1st trip freeze frame data and freeze frame data (along with the DTCs) are cleared when the ECM memory is erased. Procedures for clearing the ECM memory are described in "HOW TO ERASE EMISSION RELATED DIAGNOSTIC INFORMATION".

SYSTEM READINESS TEST (SRT) CODE
System Readiness Test (SRT) code is specified in Service $01 of SAE J1979.
As part of an enhanced emissions test for Inspection and Maintenance (I/M), certain states require the status of
SRT be used to indicate whether the ECM has completed self-diagnosis of major emission systems and components. Completion must be verified in order for the emissions inspection to proceed.
If a vehicle is rejected for a State emissions inspection due to one or more SRT items indicating "INCMP", use the information in this Service Manual to set the SRT to "CMPLT".
In most cases the ECM will automatically complete its self-diagnosis cycle during normal usage, and the SRT status will indicate "CMPLT" for each application system. Once set as "CMPLT", the SRT status remains "CMPLT" until the self-diagnosis memory is erased.
Occasionally, certain portions of the self-diagnostic test may not be completed as a result of the customer's normal driving pattern; the SRT will indicate "INCMP" for these items.

NOTE:
The SRT will also indicate "INCMP" if the self-diagnosis memory is erased for any reason or if the ECM memory power supply is interrupted for several hours.
If, during the state emissions inspection, the SRT indicates "CMPLT" for all test items, the inspector will continue with the emissions test. However, if the SRT indicates "INCMP" for one or more of the SRT items the vehicle is returned to the customer untested.

NOTE:
If MIL illuminates during the state emissions inspection, the vehicle is also returned to the customer untested even though the SRT indicates "CMPLT" for all test items. Therefore, it is important to check SRT ("CMPLT") and DTC (No DTCs) before the inspection.

SRT Item
The table below shows required self-diagnostic items to set the SRT to "CMPLT".






SRT Set Timing
SRT is set as "CMPLT" after self-diagnosis has been performed one or more times. Completion of SRT is done regardless of whether the result is OK or NG. The set timing is different between OK and NG results and is shown in the table below.





When all SRT related self-diagnoses show OK results in a single cycle (Ignition OFF-ON-OFF), the SRT will indicate "CMPLT". to Case 1 above
When all SRT related self-diagnoses show OK results through several different cycles, the SRT will indicate "CMPLT" at the time the respective self-diagnoses have at least one OK result. to Case 2 above
If one or more SRT related self-diagnoses show NG results in 2 consecutive cycles, the SRT will also indicate "CMPLT". to Case 3 above
The table above shows that the minimum number of cycles for setting SRT as "INCMP" is the number one (1) for each self-diagnosis (Case 1 and 2) or the number two (2) for one of self-diagnoses (Case 3). However, in preparation for the state emissions inspection, it is unnecessary for each self-diagnosis to be executed twice
(Case 3) for the following reasons:
- The SRT will indicate "CMPLT" at the time the respective self-diagnoses have one (1) OK result.
- The emissions inspection requires "CMPLT" of the SRT only with OK self-diagnosis results.
- During SRT driving pattern, the 1st trip DTC (NG) is detected prior to "CMPLT" of SRT and the self-diagnosis memory must be erased from the ECM after repair.
- If the 1st trip DTC is erased, all the SRT will indicate "INCMP".

NOTE:
SRT can be set as "CMPLT" together with the DTC(s). Therefore, DTC check must always be carried out prior to the state emission inspection even though the SRT indicates "CMPLT".

SRT Service Procedure
If a vehicle has failed the state emissions inspection due to one or more SRT items indicating "INCMP", review the flowchart diagnostic sequence below.





How to Display SRT Status
WITH CONSULT-III
Selecting "SRT STATUS" in "DTC CONFIRMATION" mode with CONSULT-III.
For items whose SRT codes are set, "CMPLT" is displayed on the CONSULT-III screen; for items whose SRT codes are not set, "INCMP" is displayed.
"INCMP" means the self-diagnosis is incomplete and SRT is not set. "CMPLT" means the self-diagnosis is complete and SRT is set.

NOTE:
Though displayed on the CONSULT-III screen, "HO2S HTR" is not SRT item.
WITH GST
Selecting Service $01 with GST (Generic Scan Tool)
NO TOOLS
A SRT code itself cannot be displayed, however SRT status can be.
1. Turn ignition switch ON and wait 20 seconds.
2. SRT status is indicated as shown below.
- When all SRT codes are set, MIL illuminates continuously.
- When any SRT codes are not set, MIL will blink periodically for 10 seconds.





How to Set SRT Code
To set all SRT codes, self-diagnosis for the items indicated above must be performed one or more times. Each diagnosis may require a long period of actual driving under various conditions.
WITH CONSULT-III
Perform corresponding DTC Confirmation Procedure one by one based on Performance Priority in the table on "SRT Item".
WITHOUT CONSULT-III
The most efficient driving pattern in which SRT codes can be properly set is explained below. The driving pattern should be performed one or more times to set all SRT codes.

Driving Pattern





- The time required for each diagnosis varies with road surface conditions, weather, altitude, individual driving habits, etc.
Zone A refers to the range where the time, required for the diagnosis under normal conditions*, is the shortest.
Zone B refers to the range where the diagnosis can still be performed if the diagnosis is not completed within zone A.
*: Normal conditions refer to the following:
- Sea level
- Flat road
- Ambient air temperature: 20 - 30�C (68 - 86�F)
- Diagnosis is performed as quickly as possible under normal conditions.
Under different conditions [For example: ambient air temperature other than 20 - 30�C (68 - 86�F)], diagnosis may also be performed.
Pattern 1:
- The engine is started at the engine coolant temperature of -10 to 35�C (14 to 95�F)
(where the voltage between the ECM terminal 73 and ground is 3.0 - 4.3V).
- The engine must be operated at idle speed until the engine coolant temperature is greater than 70�C
(158�F) (where the voltage between the ECM terminal 73 and ground is lower than 1.4V).
- The engine is started at the fuel tank temperature of warmer than 0�C (32�F) (where the voltage between the ECM terminal 107 and ground is less than 4.1V).
Pattern 2:
- When steady-state driving is performed again even after it is interrupted, each diagnosis can be conducted.
In this case, the time required for diagnosis may be extended.
Pattern 3:





- Operate vehicle following the driving pattern shown in the figure.
- Release the accelerator pedal during deceleration of vehicle speed from 90 km/h (56 MPH) to 0 km/h (0 MPH).
Pattern 4:
- The accelerator pedal must be held very steady during steady driving.
- If the accelerator pedal is moved, the test must be conducted again.
*1: Depress the accelerator pedal until vehicle speed is 90 km/h (56
MPH), then release the accelerator pedal and keep it released for more than 10 seconds. Depress the accelerator pedal until vehicle speed is 90 km/h (56 MPH) again.
*2: Checking the vehicle speed with GST is advised.
Suggested Transmission Gear Position
Set the selector lever in the D position with the overdrive switch turned ON.

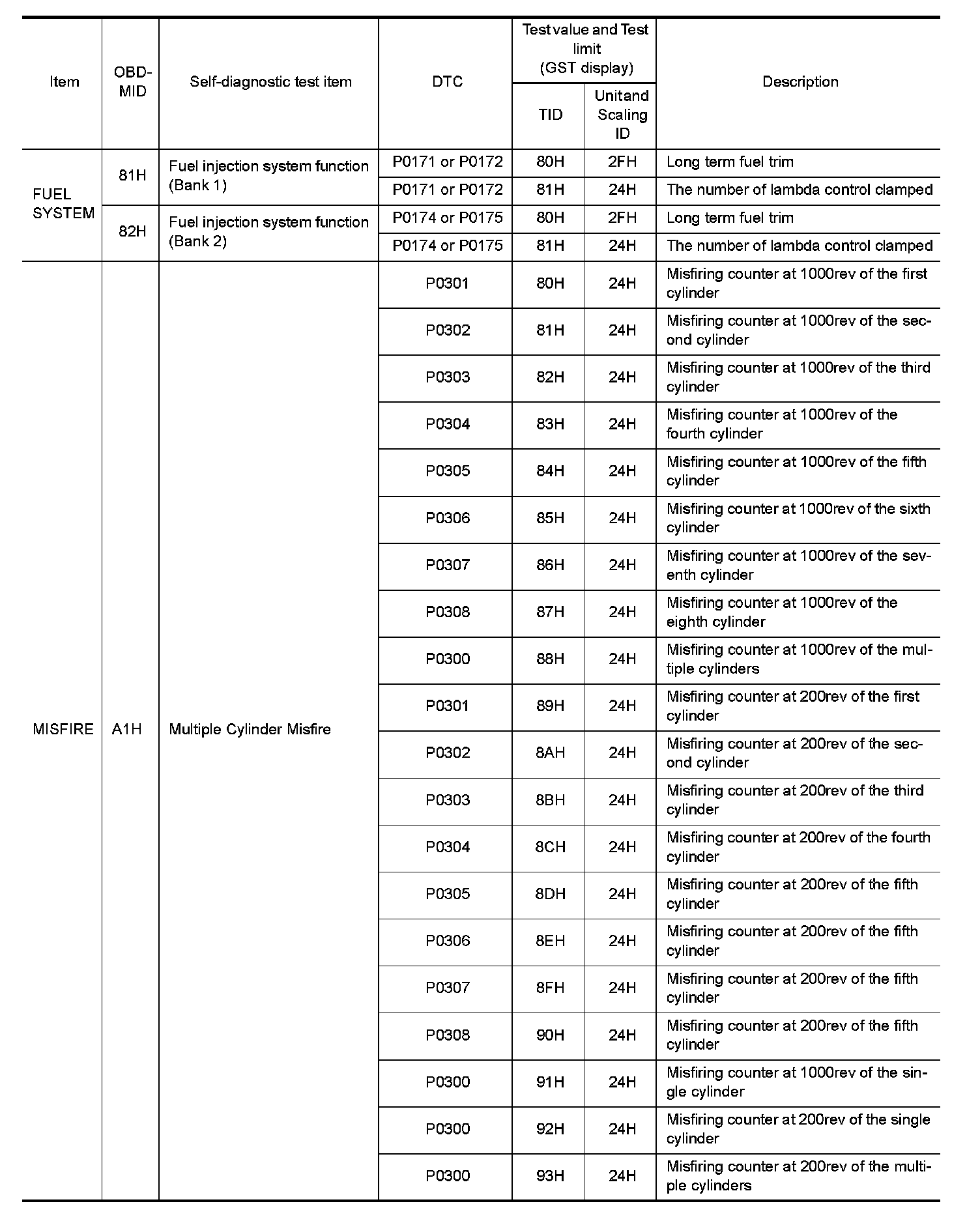
TEST VALUE AND TEST LIMIT (GST ONLY -- NOT APPLICABLE TO CONSULT-III)
The following is the information specified in Service $06 of SAE J1979.
The test value is a parameter used to determine whether a system/circuit diagnostic test is OK or NG while being monitored by the ECM during self-diagnosis. The test limit is a reference value which is specified as the maximum or minimum value and is compared with the test value being monitored.
These data (test value and test limit) are specified by On Board Monitor ID(OBDMID), Test ID (TID), Unit and
Scaling ID and can be displayed on the GST screen.
The items of the test value and test limit will be displayed with GST screen which items are provided by the ECM. (eg., if the bank 2 is not applied on this vehicle, only the items of the bank 1 is displayed)


























HOW TO ERASE EMISSION-RELATED DIAGNOSTIC INFORMATION

How to Erase DTC
WITH CONSULT-III

NOTE:
- If the ignition switch stays ON after repair work, be sure to turn ignition switch OFF once.
Wait at least 10 seconds and then turn it ON (engine stopped) again.
- If the DTC is not for A/T related items (see "EMISSION-RELATED DIAGNOSTIC INFORMATION
ITEMS"), skip step 1.
1. Perform "HOW TO ERASE DTC" in OBD-II Diagnostic Trouble Code (DTC). (The DTC in TCM will be erased)
2. Select "ENGINE" with CONSULT-III.
3. Select "Self Diagnostic Result".
4. Touch "ERASE". (DTC in ECM will be erased.)
WITH GST

NOTE:
- If the ignition switch stays ON after repair work, be sure to turn ignition switch OFF once.
Wait at least 10 seconds and then turn it ON (engine stopped) again.
1. Select Service $04 with GST (Generic Scan Tool).
No Tools

NOTE:
- If the ignition switch stays ON after repair work, be sure to turn ignition switch OFF once.
Wait at least 10 seconds and then turn it ON (engine stopped) again.
1. Erase DTC in ECM. Refer to "How to Erase Diagnostic Test Mode II (Self-Diagnostic Results)" in Malfunction Indicator Lamp.
- If the battery is disconnected, the emission-related diagnostic information will be cleared within 24 hours.
- The following data are cleared when the ECM memory is erased.
- Diagnostic trouble codes
- 1st trip diagnostic trouble codes
- Freeze frame data
- 1st trip freeze frame data
- System readiness test (SRT) codes
- Test values
Actual work procedures are explained using a DTC as an example. Be careful so that not only the DTC, but all of the data listed above, are cleared from the ECM memory during work procedures.