Curiosii for ever!: Car repair manuals for everyone.

Computers/Controls - CAN Communication Diagnostic Flow Chart

Classification: EL13-010

Reference: ITB13-006

Date: March 22, 2013

2005-2013 INFINITI; CAN COMMUNICATION - NETWORK DIAGNOSTIC FLOW CHART

APPLIED VEHICLES: All 2005 - 2013MY Infiniti Vehicles

SERVICE INFORMATION

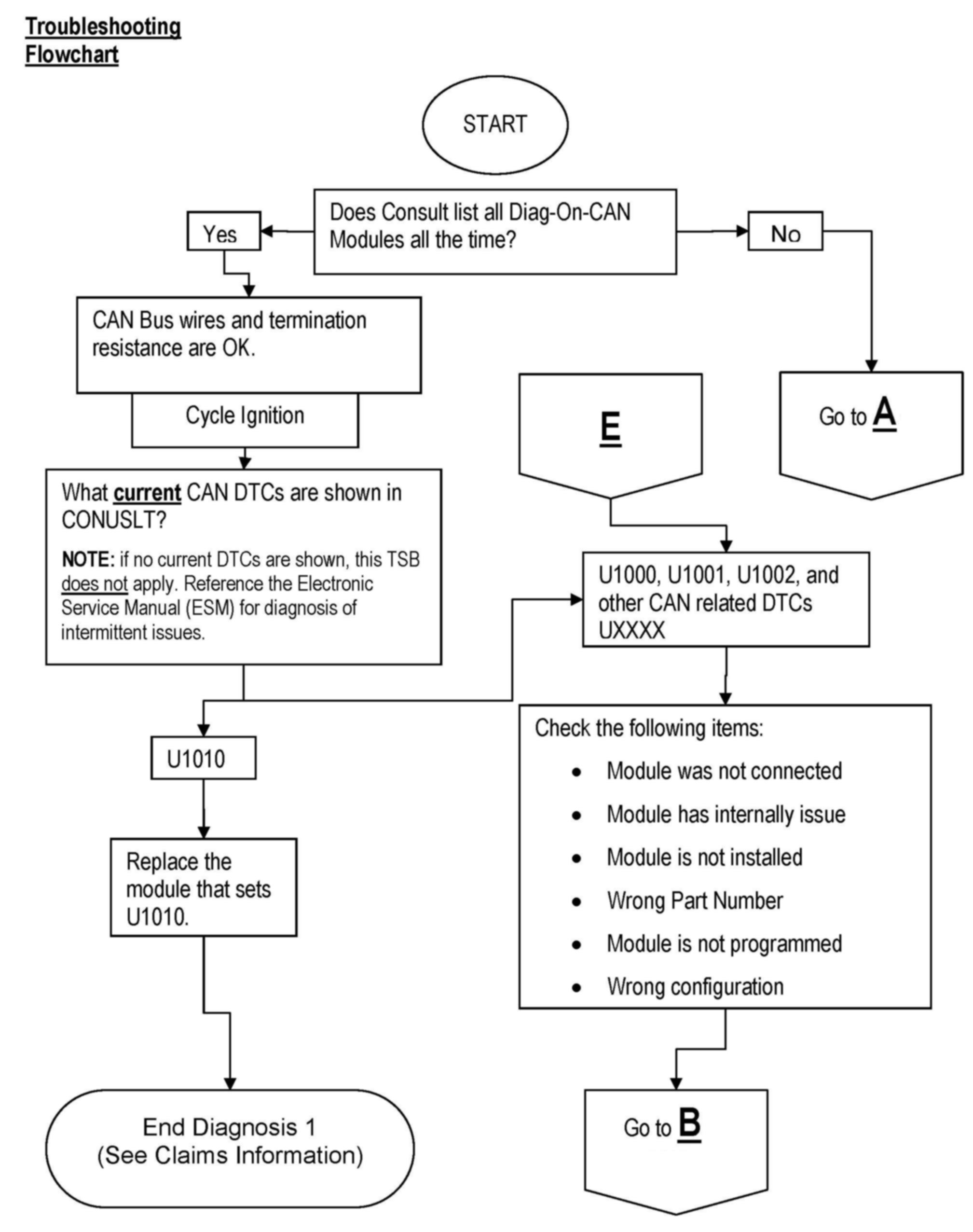
This TSB is for troubleshooting of CAN Modules with "Diag-On-CAN" Diagnostics. The flow charts below are meant to troubleshoot current CAN DTCs. The flow charts are intended to diagnose one module at a time; repeat the process as needed for additional control units.

Definition of CAN Codes:

U1000 - missing ECM CAN communications not related to OBD2 system

U1000 - missing CAN communications for all other ECUs

U1001 - missing ECM CAN communications related to OBD2 system

U1002 - similar to U1000, but has a tighter timing spec to set the DTC

U1010 - Module has internal Issues





CLAIMS INFORMATION

Helpful Tips:

^ Always diagnose CAN communication codes first, U1000, U1001, U1002, U1010, then network codes, UXXXX, and then all other codes.

^ A quick method to test CAN communications is to operate the vehicles functions such as Hazards, Brakes, Tachometer, PRNDL, Speedometer, 4WD, Difflock, Seat Memory, Power Back Door or High Beams.

^ In a low voltage situation (less than 10V), modules will stop communicating at different voltages.

^ Integrated Power Distribution Module (IPDM) is a smart relay and fuse box. It powers other modules in the same way fuses and relays do.

^ CAN voltages can be checked via CONSULT.

^ Missing "Ignition 2" fuse or other high level fuses can cause CAN Diag Support Monitor to not work.

^ High level fuses such as "Ignition 1", "Ignition 2" and "Elec B" power many modules.

^ Pins/terminals can be bent and still pass visual inspection.

^ When troubleshooting a harness that has multiple inline connections, section off the harness and isolate it one portion at a time. Add a terminating resistor to the end of the harness in substitution of the terminating modules.

^ If a module has multiple connectors, disconnect one at a time.

NOTE:
120 ohm resistors may be needed to perform diagnostics.





Normal CAN Measurements





Main Types of Issues





Troubleshooting Flowchart





Flowchart A





Flowchart B





Flowchart C





Harness Incident Type





Disclaimer