Curiosii for ever!: Car repair manuals for everyone.

Scan Tool Testing and Procedures

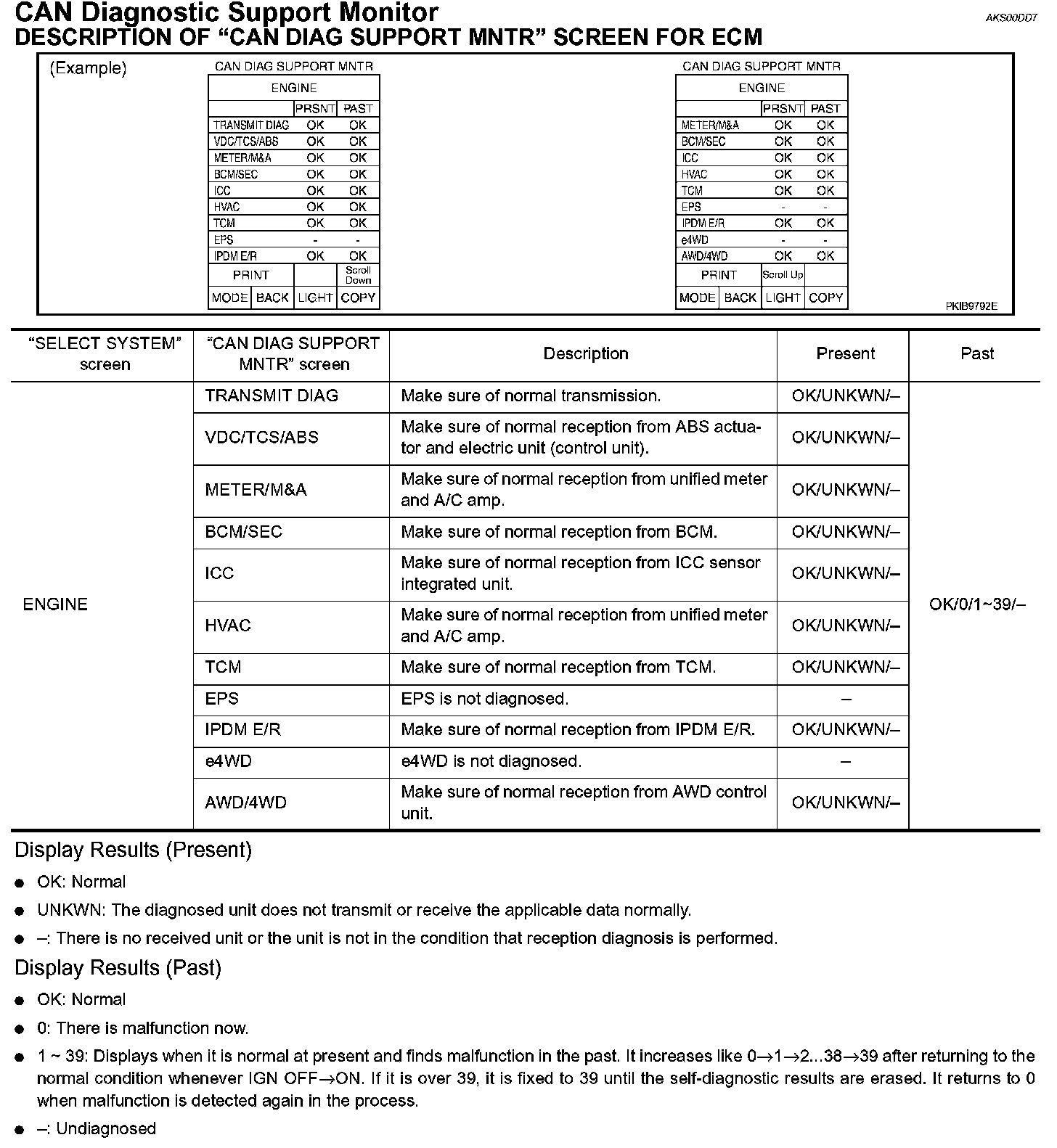
CAN Diagnostic Support Monitor




DESCRIPTION OF "CAN DIAG SUPPORT MNTR" SCREEN FOR ECM




DESCRIPTION OF "CAN DIAG SUPPORT MNTR" SCREEN FOR TCM




DESCRIPTION OF "CAN DIAG SUPPORT MNTR" SCREEN FOR AWD CONTROL UNIT




DESCRIPTION OF "CAN DIAG SUPPORT MNTR" SCREEN FOR AFS CONTROL UNIT




DESCRIPTION OF "CAN DIAG SUPPORT MNTR" SCREEN FOR BCM




DESCRIPTION OF "CAN DIAG SUPPORT MNTR" SCREEN FOR LDW CAMERA UNIT




DESCRIPTION OF "CAN DIAG SUPPORT MNTR" SCREEN FOR LOW TIRE PRESSURE WARNING CONTROL UNIT




DESCRIPTION OF "CAN DIAG SUPPORT MNTR" SCREEN FOR INTELLIGENT KEY UNIT




DESCRIPTION OF "CAN DIAG SUPPORT MNTR" SCREEN FOR UNIFIED METER AND A/C AMP.




DESCRIPTION OF "CAN DIAG SUPPORT MNTR" SCREEN FOR AV(NAVI) CONTROL UNIT




DESCRIPTION OF "CAN DIAG SUPPORT MNTR" SCREEN FOR RAS CONTROL UNIT




DESCRIPTION OF "CAN DIAG SUPPORT MNTR" SCREEN FOR PRE-CRASH SEAT BELT CONTROL UNIT




DESCRIPTION OF "CAN DIAG SUPPORT MNTR" SCREEN FOR DRIVER SEAT CONTROL UNIT




DESCRIPTION OF "CAN DIAG SUPPORT MNTR" SCREEN FOR ABS ACTUATOR AND ELECTRIC UNIT (CONTROL UNIT)




DESCRIPTION OF "CAN DIAG SUPPORT MNTR" SCREEN FOR ICC SENSOR INTEGRATED UNIT




DESCRIPTION OF "CAN DIAG SUPPORT MNTR" SCREEN FOR IPDM E/R