Curiosii for ever!: Car repair manuals for everyone.

System Specifications





General Specifications

Shift Schedule





VEHICLE SPEED WHEN SHIFTING GEARS THROTTLE POSITION





VEHICLE SPEED WHEN PERFORMING AND RELEASING LOCK-UP





Stall Revolution

Control Valves





CONTROL VALVE AND PLUG RETURN SPRINGS

Accumulator





O-RING





RETURN SPRING

Clutch and Brakes





REVERSE CLUTCH





HIGH CLUTCH





FORWARD CLUTCH





OVERRUN CLUTCH





LOW & REVERSE BRAKE





BRAKE BAND





CLUTCH AND BRAKE RETURN SPRINGS

Final Drive





DIFFERENTIAL SIDE GEAR CLEARANCE





DIFFERENTIAL SIDE GEAR THRUST WASHERS





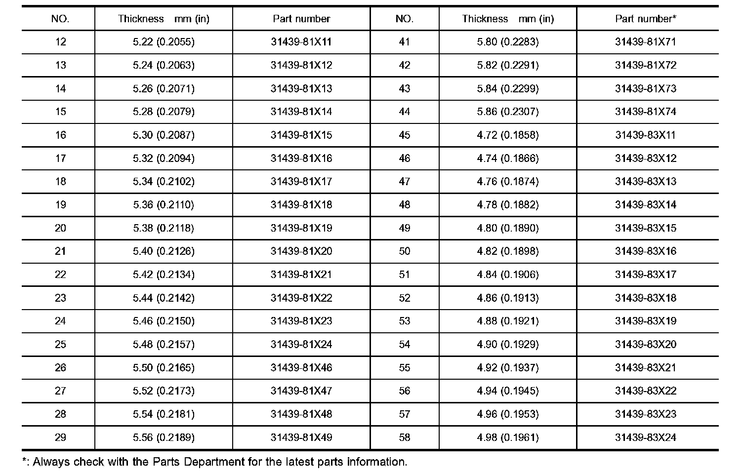
DIFFERENTIAL SIDE BEARING PRELOAD ADJUSTING SHIMS





BEARING PRELOAD





TURNING TORQUE





CLUTCH AND BRAKE RETURN SPRINGS

Planetary Carrier and Oil Pump





PLANETARY CARRIER





OIL PUMP

Input Shaft





SEAL RING CLEARANCE





SEAL RING

Reduction Pinion Gear





TURNING TORQUE








REDUCTION PINION GEAR BEARING ADJUSTING SHIMS

Band Servo





RETURN SPRING

Output Shaft





SEAL RING CLEARANCE





SEAL RING





END PLAY





OUTPUT SHAFT ADJUSTING SHIMS

Bearing Retainer





SEAL RING CLEARANCE





Total End Play





BEARING RACE FOR ADJUSTING TOTAL END PLAY





Reverse Clutch End Play





THRUST WASHERS FOR ADJUSTING REVERSE CLUTCH DRUM END PLAY





Removal and Installation





Shift Solenoid Valves





Solenoid Valves





A/T Fluid Temperature Sensor





Revolution Sensor (For Speed Sensor)





Dropping Resistor





Power Train Revolution Sensor