Curiosii for ever!
: Car repair manuals for everyone.
Home
>>
Infiniti
>>
2004
>>
I35 V6-3.5L (VQ35DE)
>>
Repair and Diagnosis
>>
Powertrain Management
>>
Computers and Control Systems
>>
Information Bus
>>
Testing and Inspection
>>
CAN System For VDC Models
>>
Circuit Checks
>>
Circuit Check Between VDC/TCS/ABS Unit & Steering Angle Sensor
Circuit Check Between VDC/TCS/ABS Unit & Steering Angle Sensor
Circuit Check Between VDC/TCS/ABS Control Unit And Steering Angle Sensor (Step 1):
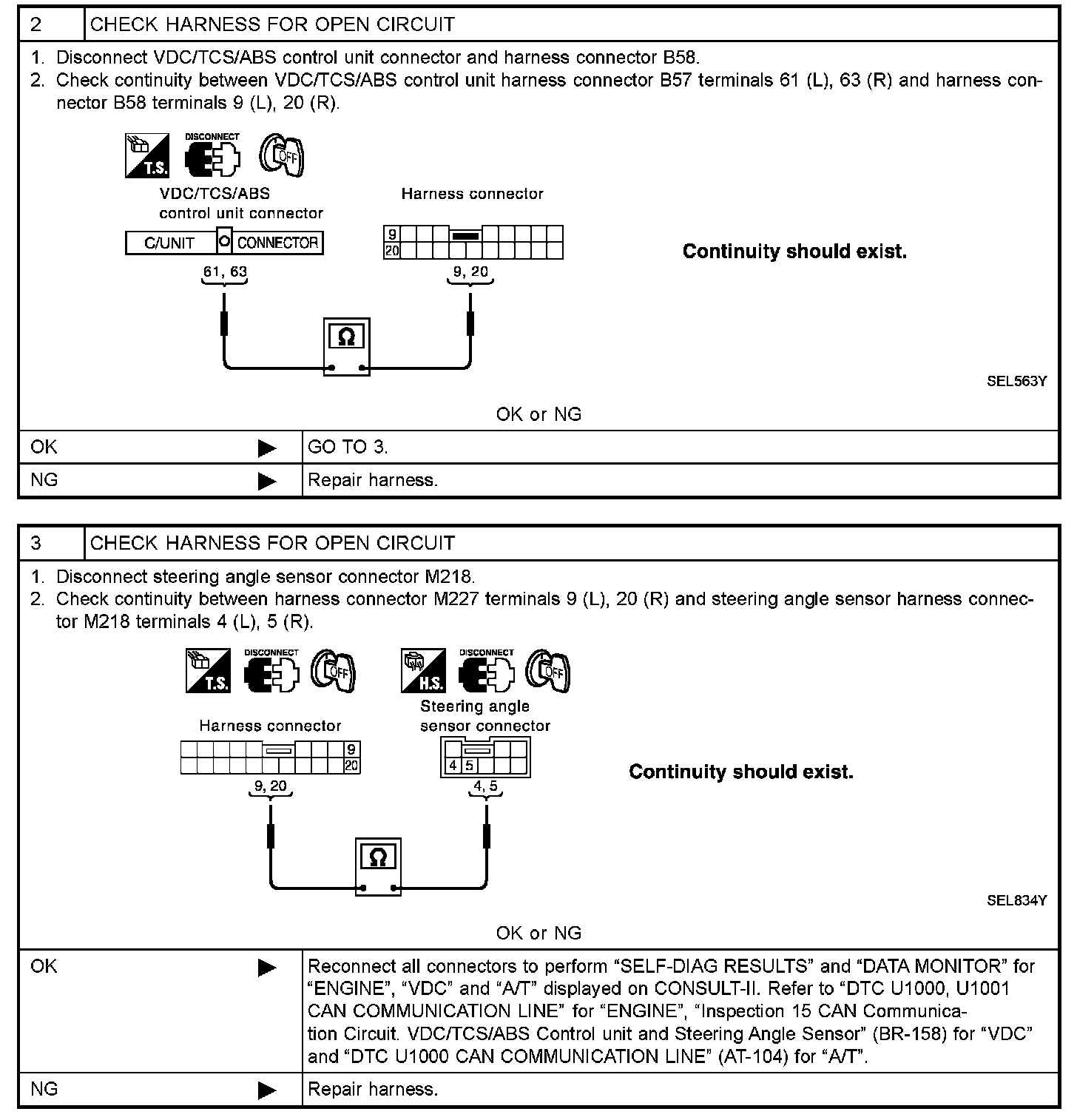
Circuit Check Between VDC/TCS/ABS Control Unit And Steering Angle Sensor (Steps 2 - 3):