Curiosii for ever!
: Car repair manuals for everyone.
Home
>>
Infiniti
>>
2004
>>
I35 V6-3.5L (VQ35DE)
>>
Repair and Diagnosis
>>
A L L Diagnostic Trouble Codes ( DTC )
>>
Testing and Inspection
>>
Diagnostic Trouble Code Descriptions
>>
Engine Control System
>>
Alphabetical Index
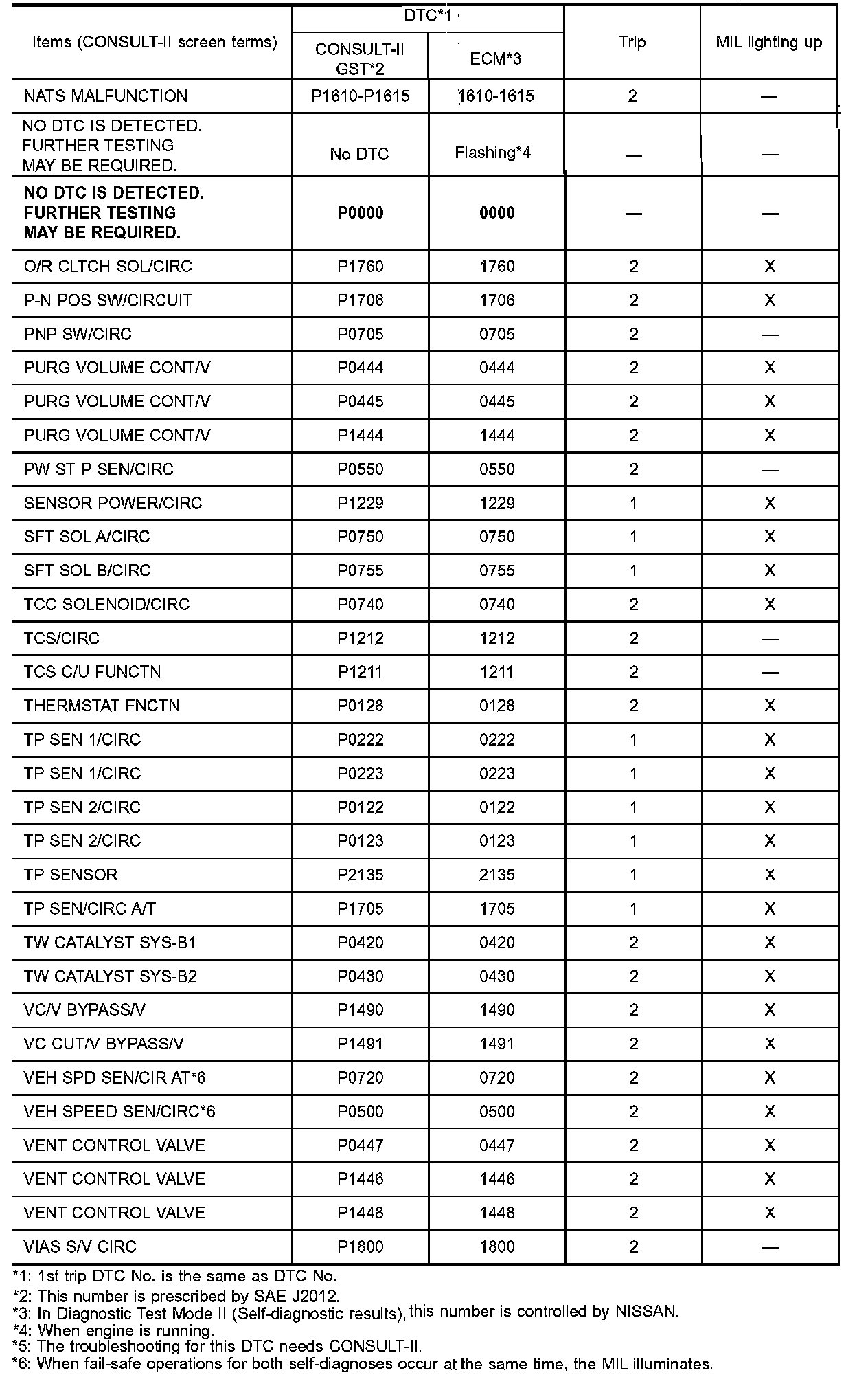
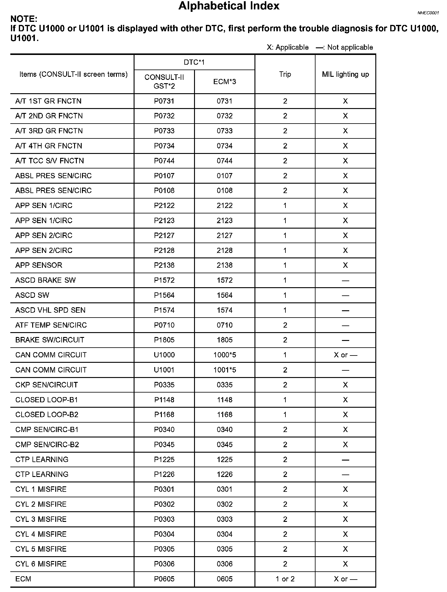
Alphabetical Index
Alphabetical Index Part 1:
Alphabetical Index Part 2:
Alphabetical Index Part 3:
Alphabetical Index Part 4: