Curiosii for ever!: Car repair manuals for everyone.

Radiator Cooling Fan Control Module: Description and Operation

System Description




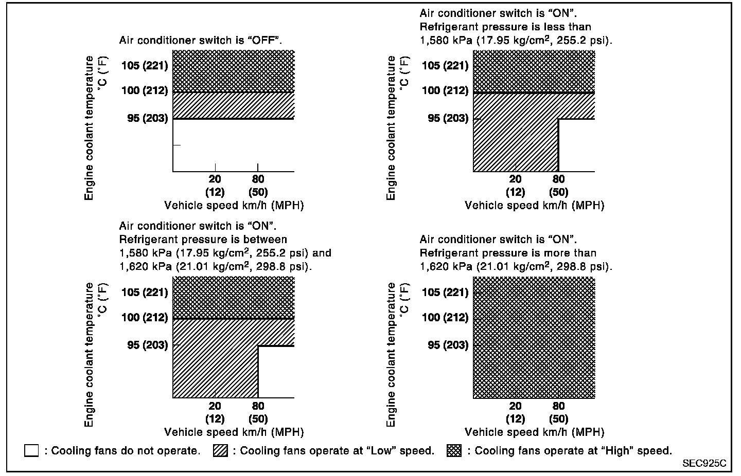
COOLING FAN CONTROL
The ECM controls the cooling fan corresponding to the vehicle speed, engine coolant temperature, refrigerant pressure and air conditioner ON signal. The control system has 3-step control [HIGH/LOW/OFF].

Operation: