Curiosii for ever!
: Car repair manuals for everyone.
Home
>>
Infiniti
>>
2002
>>
G20 L4-2.0L (SR20DE)
>>
Repair and Diagnosis
>>
Relays and Modules
>>
Relays and Modules - Cooling System
>>
Radiator Cooling Fan Control Module
>>
Description and Operation
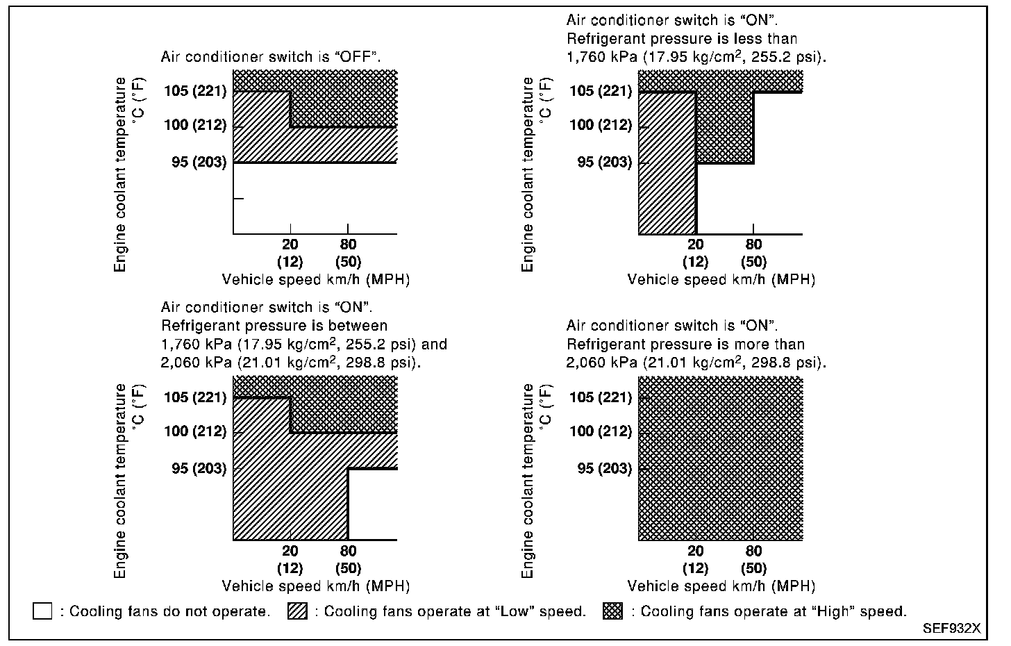
Radiator Cooling Fan Control Module: Description and Operation
COOLANT OVER TEMPERATURE ENRICHMENT PROTECTION
System Description
Cooling Fan Control:
Operation: