Curiosii for ever!
: Car repair manuals for everyone.
Home
>>
Infiniti
>>
1992
>>
G20 L4-2.0L (SR20DE)
>>
Repair and Diagnosis
>>
Powertrain Management
>>
Computers and Control Systems
>>
Knock Sensor
>>
Testing and Inspection
>>
Trouble Code Charts
Trouble Code Charts
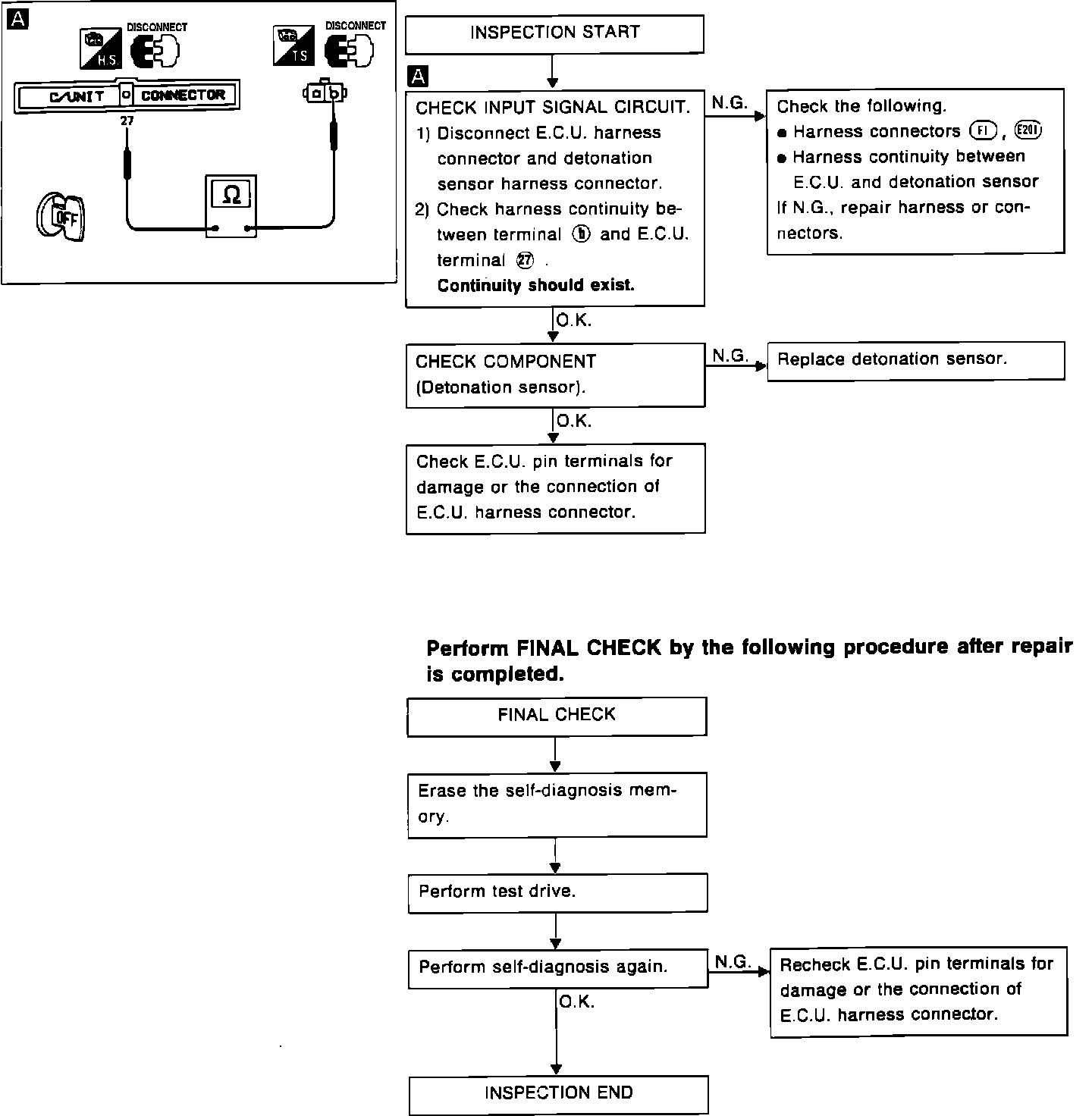
Fig. 60 Code 34, Knock Sensor: