Curiosii for ever!: Car repair manuals for everyone.

Paint - Refinish Formula Code Numbers


9211infiniti01

Models: All models

Section: Body & Frame

Classification: BF90-013

Bulletin No.: ITB90-038

Date: December 13, 1990


REFINISH PAINT FORMULA CODE NUMBERS FOR 1991 MODELS


SERVICE INFORMATION

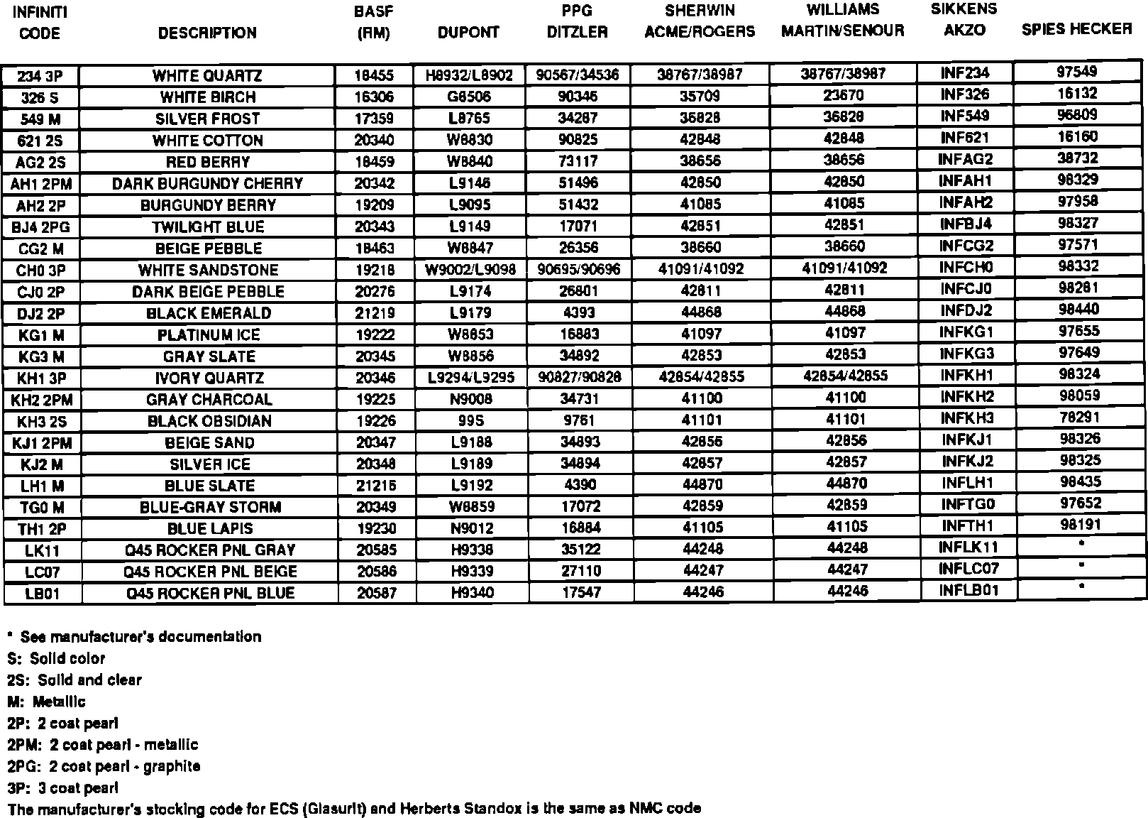
Attached for your reference is a listing of all 1991 Infiniti paint codes, color names, and refinish paint codes for major automotive paint manufacturers.





This listing reflects manufacturer stock codes rather than mixing formulas. Contact your local refinish paint representative if you need actual paint mixing formulas or if you experience color matching difficulties.


1991 INFINITI COLORS

MODEL INFINITI CODE DESCRIPTION TYPE

G20 326 WHITE BIRCH S
AG2 RED BERRY 2S
AH2 BURGUNDY BERRY 2P
CG2 BEIGE PEBBLE M
CH0 WHITE SANDSTONE 3P
CJ0 DARK BEIGE PEBBLE 2P
KG1 PLATINUM ICE M
KH2 GREY CHARCOAL 2P
KH3 BLACK OBSIDIAN 2S
LH1 BLUE SLATE M
TH1 BLUE LAPIS 2P

M30 234 WHITE QUARTZ 3P
549 SILVER FROST M
AH2 BURGUNDY BERRY 2P
CG2 BEIGE PEBBLE M
KH3 BLACK OBSIDIAN 2S
1J1 WHITE QUARTZ (234)/ 3P
BEIGE PEBBLE (CG2) M
3J3 BLACK OBSIDIAN (KH3)/ 2S
GREY SLATE (KG3) M
4G7 BLUE-GREY STORM (TGO)/ M
GREY SLATE (KG3) M

Q45 621 WHITE COTTON 2S
AH1 DARK BURGUNDY CHERRY 2P
AH2 BURGUNDY BERRY 2P
BJ4 TWILIGHT BLUE 2PG
DJ2 BLACK EMERALD 2P
KH1 IVORY QUARTZ 3P
KH2 GREY CHARCOAL 2P
KH3 BLACK OBSIDIAN 2S
KJ1 BEIGE SAND 2P
KJ2 SILVER ICE M
TG0 BLUE-GREY STORM M


S SOLID COLOR
2S SOLID AND CLEAR
M METALLIC
2P 2 COAT PEARL
2PG 2 COAT PEARL - GRAPHITE
3P 3 COAT PEARL


NOTE: THE M30 AND Q45 UTILIZE A FLUORINE CLEAR


NEW 1991 INFINITI COLOR INTRODUCTIONS

DJ2 BLACK EMERALD 2P
LH1 BLUE SLATE M