Curiosii for ever!
: Car repair manuals for everyone.
Home
>>
Hyundai
>>
2009
>>
Elantra L4-2.0L
>>
Repair and Diagnosis
>>
Specifications
>>
Mechanical Specifications
>>
Manual Transmission/Transaxle
Manual Transmission/Transaxle
Specifications
Service Standard
T: Indicate tightening of -(minus) direction of end play
L: Indicate loosening of +(plus) direction of end play
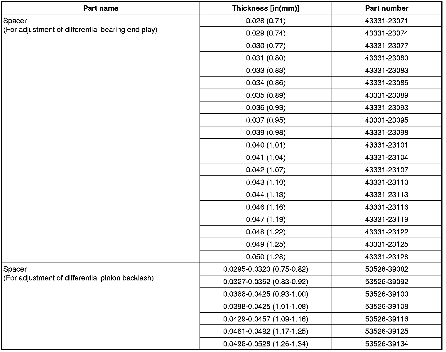
Snap Ring And Spacer For Adjustment
Tightening Torques
Lubricants