Curiosii for ever!: Car repair manuals for everyone.

Battery





Inspection

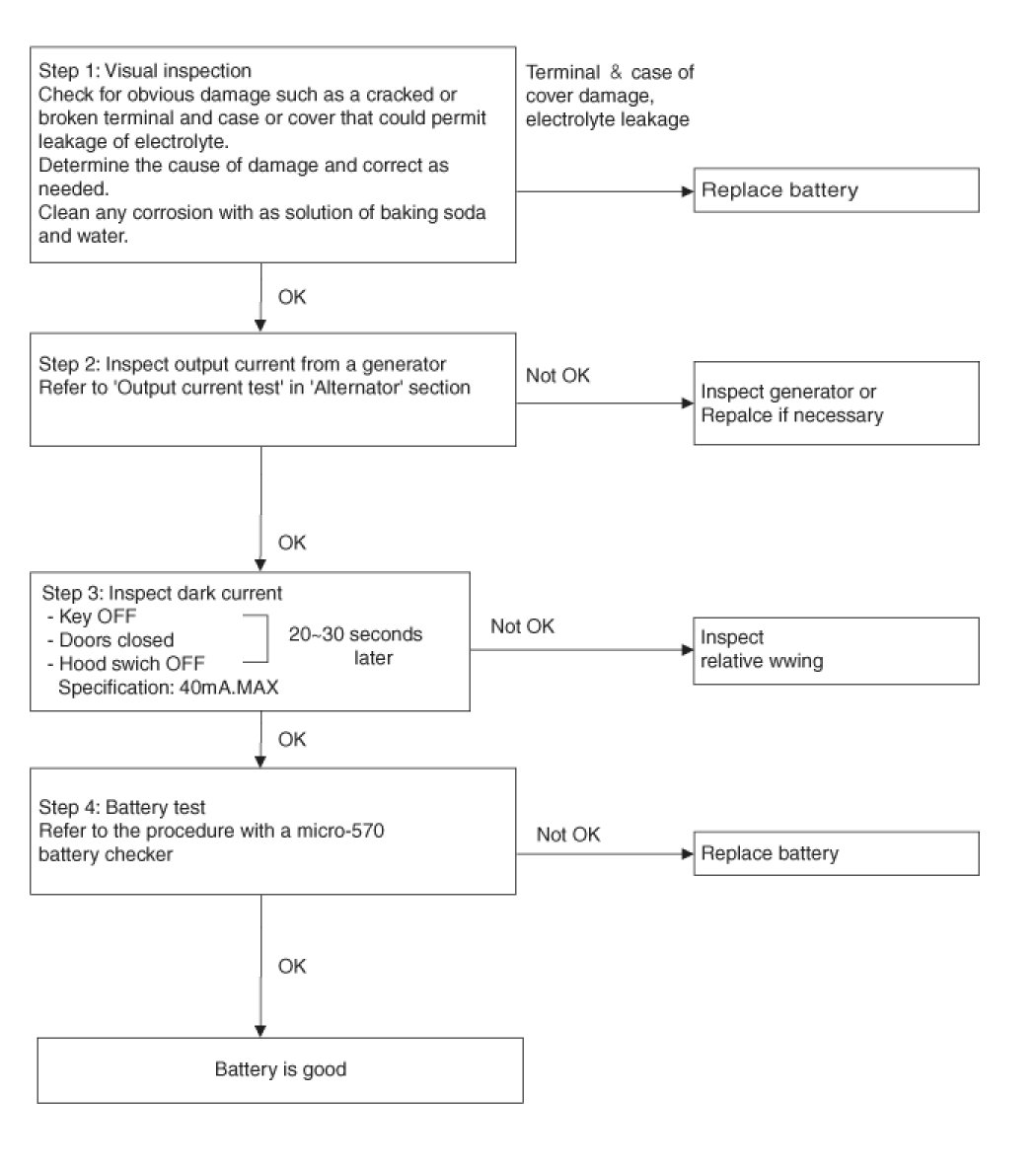
Battery Diagnostic Flow





Load Test
1. Perform the following steps to complete the load test procedure for maintenance free batteries.
2. Connect the load tester clamps to the terminals and proceed with the test as follow:
(1) If the battery has been on charge, remove the surface charge by connecting a 300 ampere load for 15 seconds.
(2) Connect the voltmeter and apply the specified load.
(3) Read the voltage after the load has been applied for 15 seconds.
(4) Disconnect the load.
(5) Compare the voltage reading with the minimum and replace the battery if battery test voltage is below that shown in the voltage table.






NOTE:
- If the voltage is greater than shown in the table, the battery is good.
- If the voltage is less than shown in the table, replace the battery.