Curiosii for ever!
: Car repair manuals for everyone.
Home
>>
Hummer
>>
2009
>>
H3 L5-3.7L
>>
Repair and Diagnosis
>>
A L L Diagnostic Trouble Codes ( DTC )
>>
Testing and Inspection
>>
Diagnostic Trouble Code Descriptions
>>
Diagnostic Trouble Code (DTC) List - Vehicle
>>
B Code List
B Code List
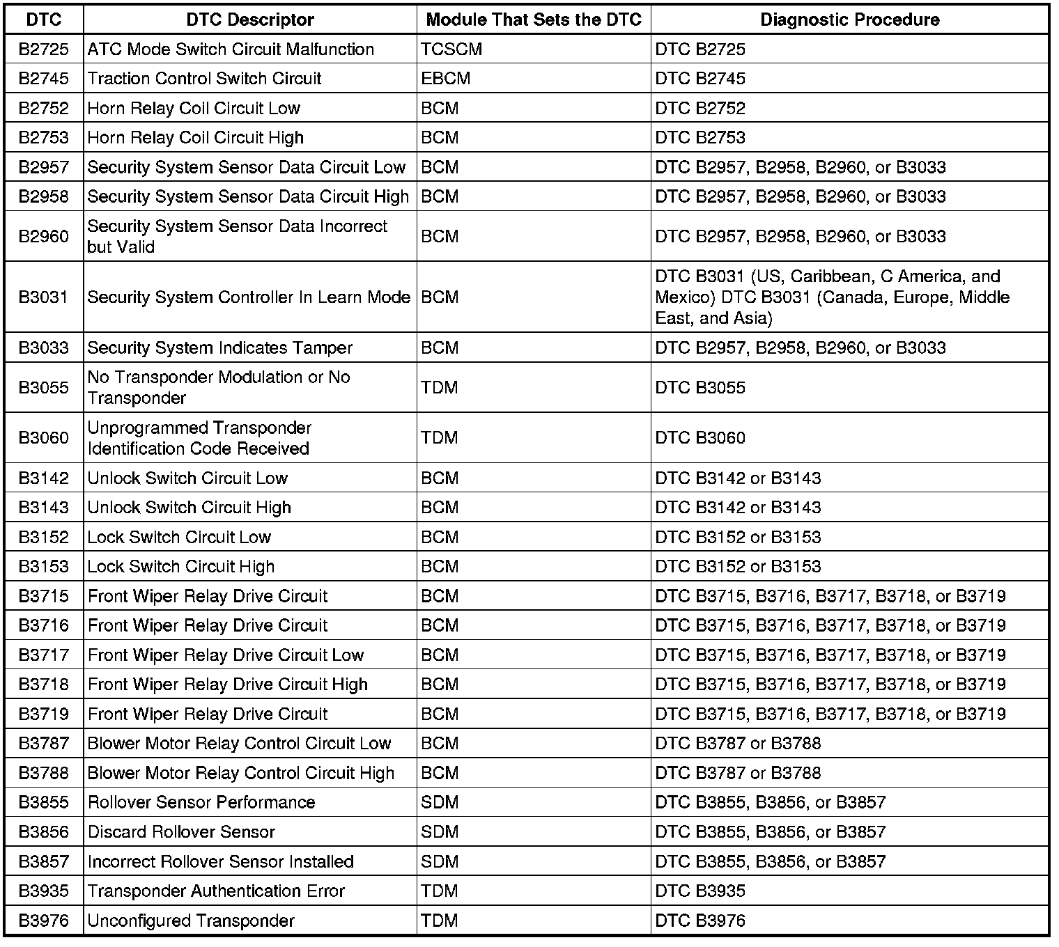
Diagnostic Trouble Code (DTC) List - Vehicle
This master DTC list includes all applicable DTCs in alphanumeric order with descriptors.
B0004 - B0062:
B0064 - B0528:
B0529 - B1477:
B1478 - B2708:
B2725 - B3976: