Curiosii for ever!
: Car repair manuals for everyone.
Home
>>
Honda
>>
1996
>>
Prelude L4-2.3L DOHC (16 Valve)
>>
Repair and Diagnosis
>>
Powertrain Management
>>
Computers and Control Systems
>>
Power Steering Pressure Switch
>>
Testing and Inspection
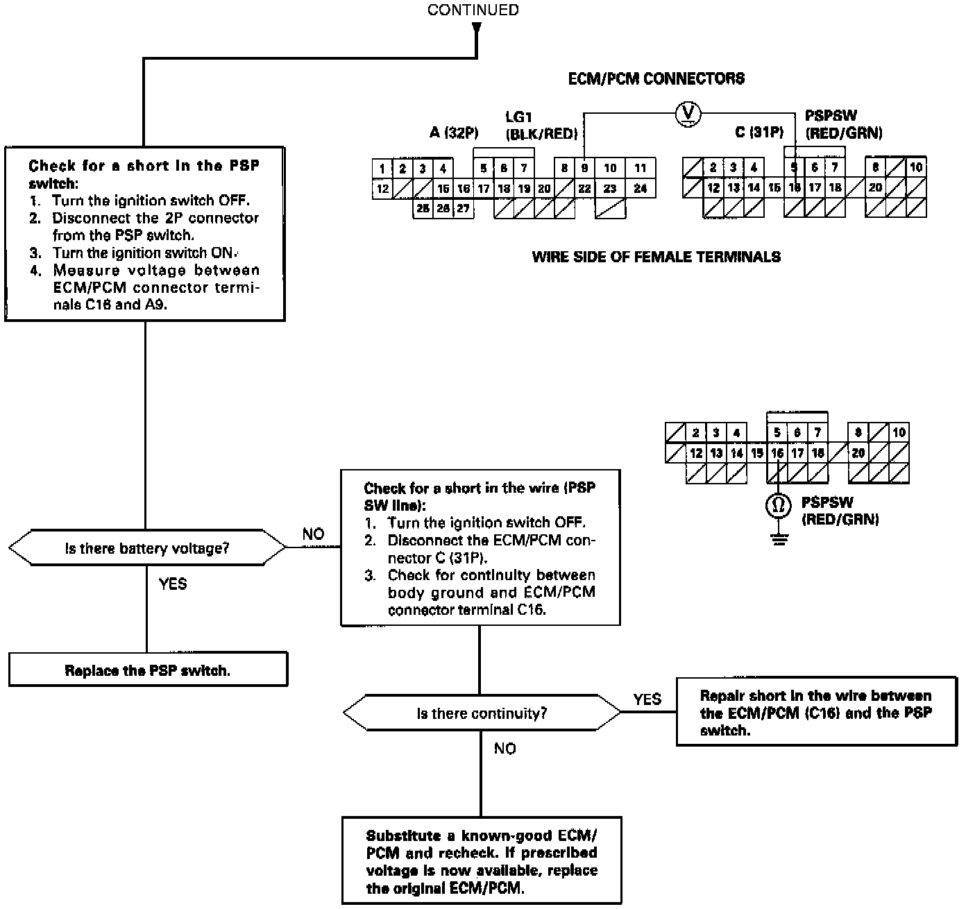
Power Steering Pressure Switch: Testing and Inspection
This signals the ECM/PCM when the power steering load is high.