Curiosii for ever!
: Car repair manuals for everyone.
Home
>>
Honda
>>
1996
>>
Civic Coupe L4-1.6L SOHC (VTEC)
>>
Repair and Diagnosis
>>
Powertrain Management
>>
Computers and Control Systems
>>
Power Steering Pressure Switch
>>
Testing and Inspection
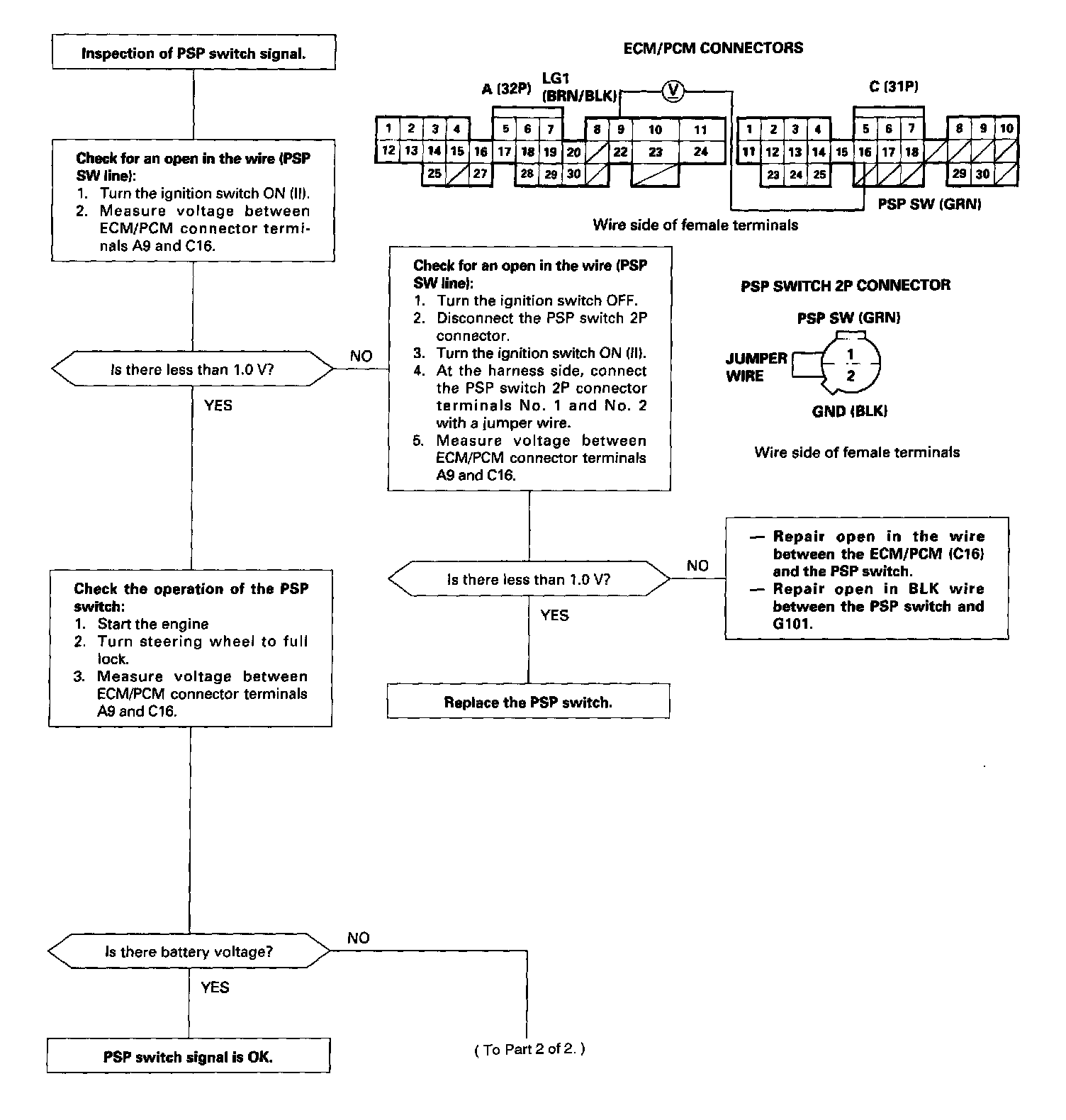
Power Steering Pressure Switch: Testing and Inspection
Part 1 Of 2:
Part 2 Of 2:
This signals the ECM/ PCM when the power steering load is high.