Curiosii for ever!
: Car repair manuals for everyone.
Home
>>
Honda
>>
1995
>>
Prelude L4-2.2L SOHC
>>
Repair and Diagnosis
>>
Powertrain Management
>>
Transmission Control Systems
>>
Testing and Inspection
>>
Symptom Related Diagnostic Procedures
>>
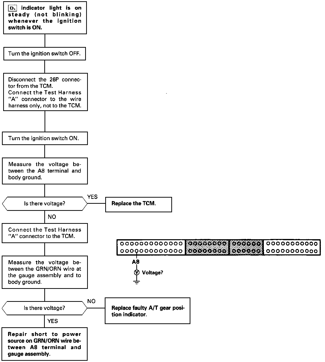
D4 Indicator Light Light Is On Constantly With Ignition Switch
D4 Indicator Light Light Is On Constantly With Ignition Switch