Curiosii for ever!
: Car repair manuals for everyone.
Home
>>
Honda
>>
1995
>>
Del Sol L4-1.5L SOHC
>>
Repair and Diagnosis
>>
Powertrain Management
>>
Relays and Modules - Powertrain Management
>>
Relays and Modules - Computers and Control Systems
>>
Engine Control Module
>>
Testing and Inspection
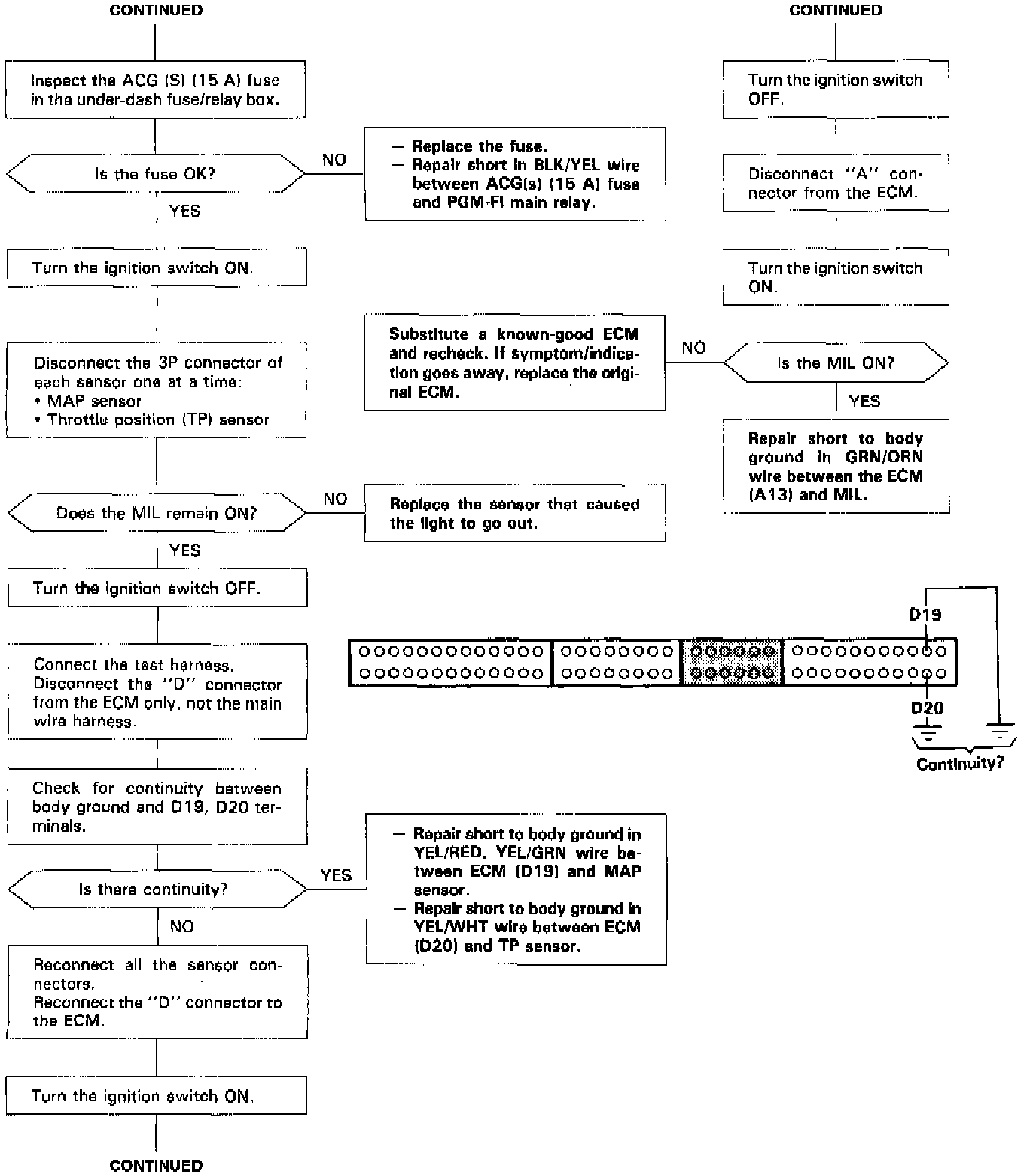
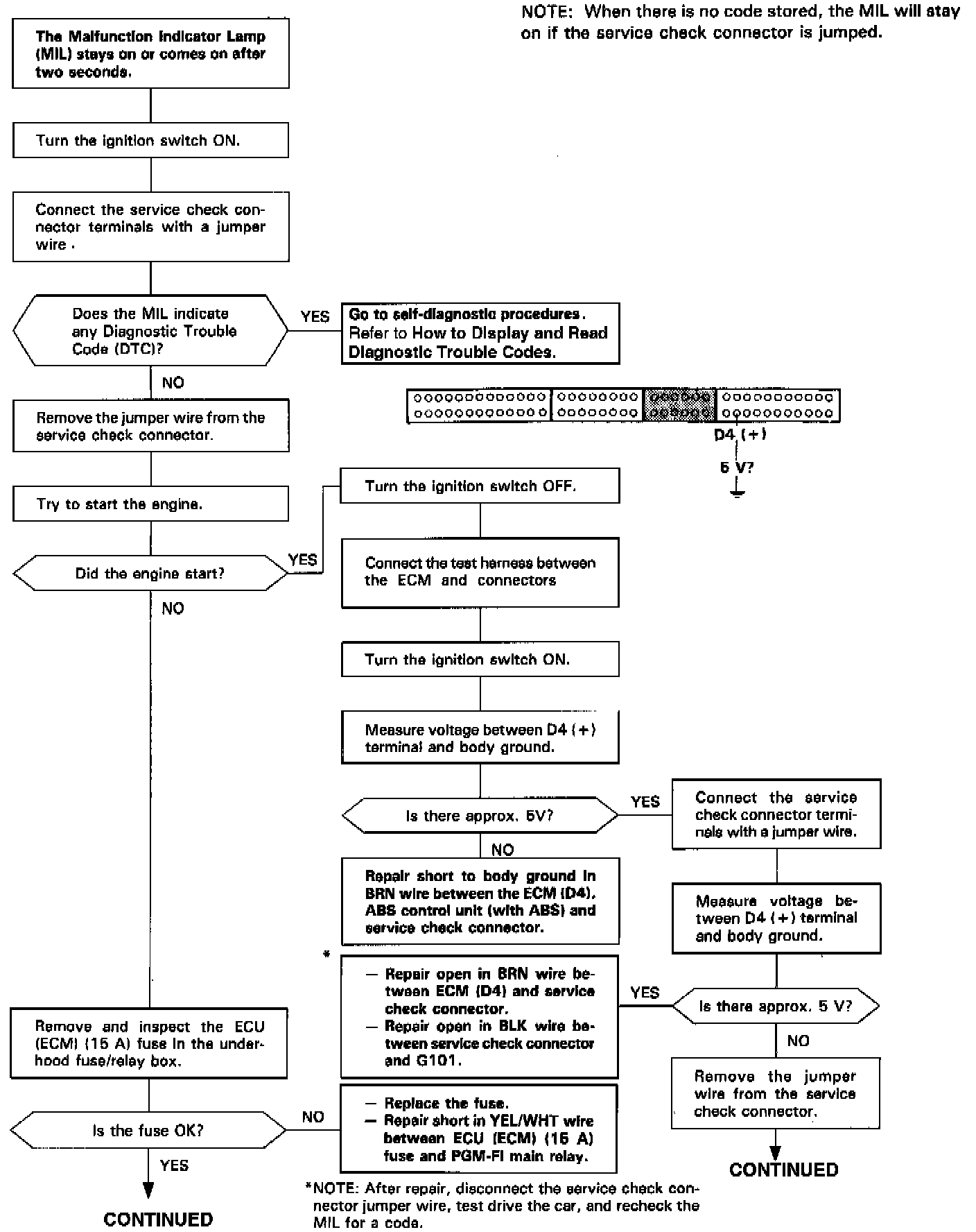
Engine Control Module: Testing and Inspection
Engine Control Module (part 1 of 4):
Engine Control Module (part 2 of 4):
Engine Control Module (part 3 of 4):
Engine Control Module (part 4 of 4):