Curiosii for ever!
: Car repair manuals for everyone.
Home
>>
Honda
>>
1995
>>
Del Sol L4-1.5L SOHC
>>
Repair and Diagnosis
>>
Powertrain Management
>>
Computers and Control Systems
>>
Vehicle Speed Sensor
>>
Testing and Inspection
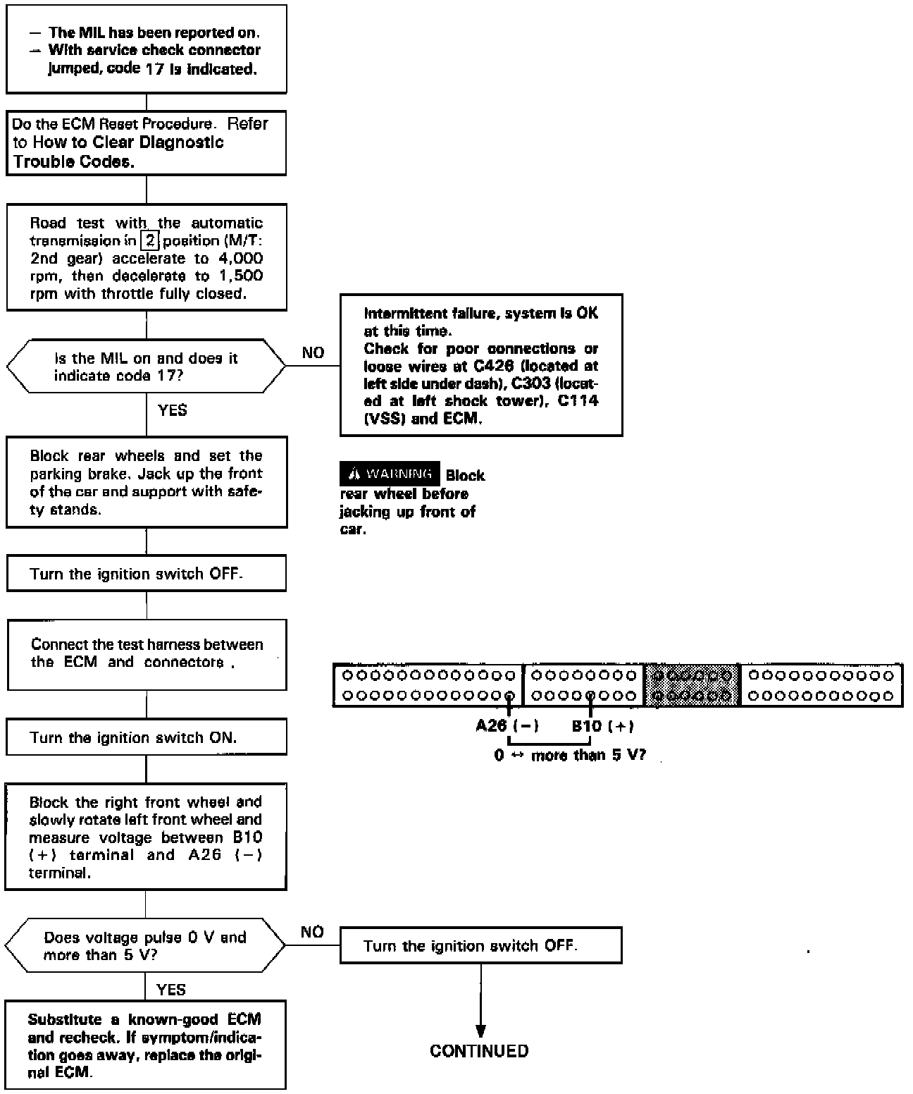
Vehicle Speed Sensor: Testing and Inspection
DTC 17 / Vehicle Speed Sensor (part 1 of 2):
DTC 17 / Vehicle Speed Sensor (part 2 of 2):