Curiosii for ever!
: Car repair manuals for everyone.
Home
>>
Honda
>>
1995
>>
Civic Sedan L4-1.5L SOHC (VTEC)
>>
Repair and Diagnosis
>>
Powertrain Management
>>
Computers and Control Systems
>>
Engine Control Module
>>
Testing and Inspection
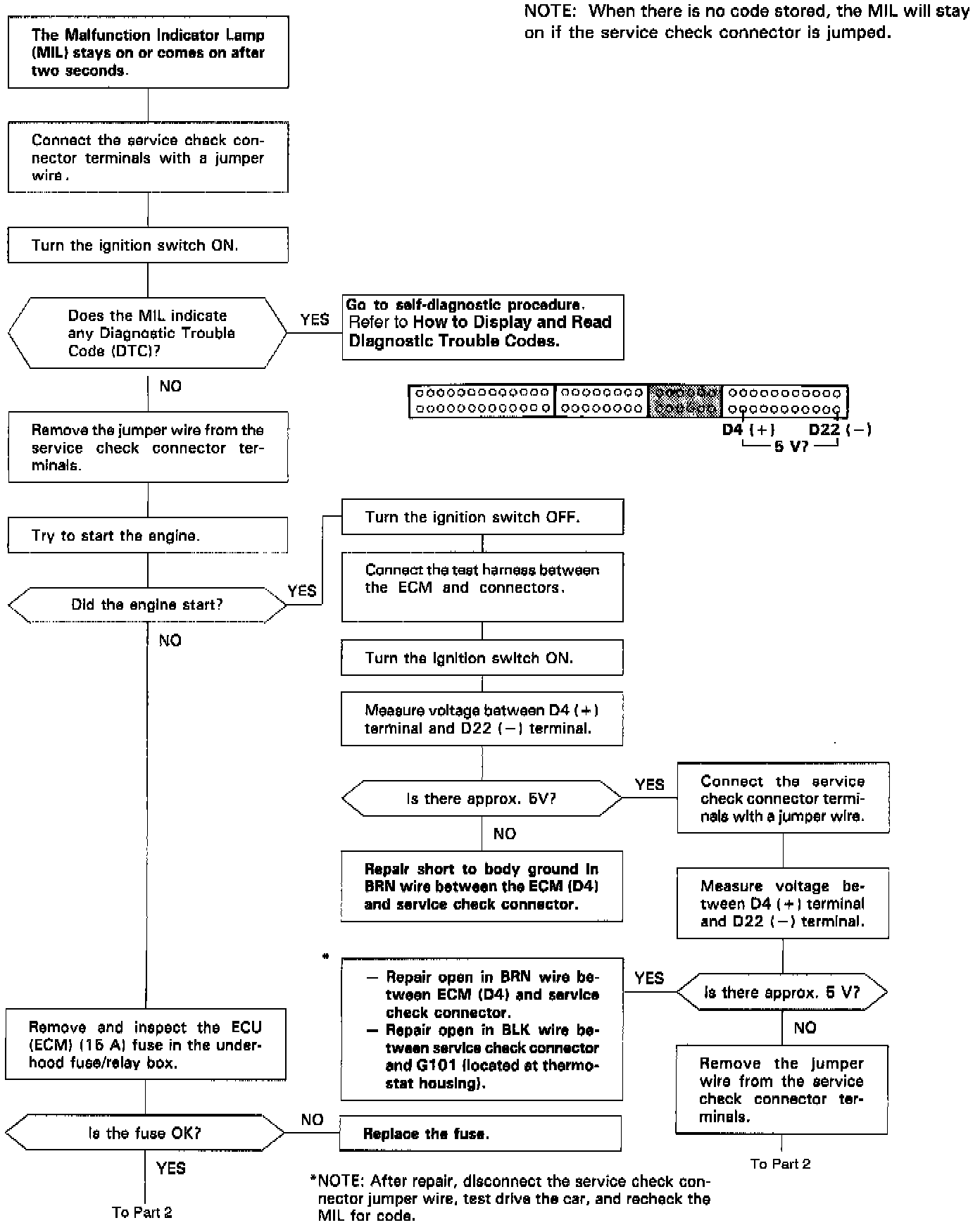
Engine Control Module: Testing and Inspection
NOTE:
When there is no code stored, the MIL will stay on if the service check connector is jumped.