Curiosii for ever!
: Car repair manuals for everyone.
Home
>>
Honda
>>
1995
>>
Accord Wagon L4-2.2L SOHC
>>
Repair and Diagnosis
>>
Powertrain Management
>>
Computers and Control Systems
>>
Power Steering Pressure Switch
>>
Testing and Inspection
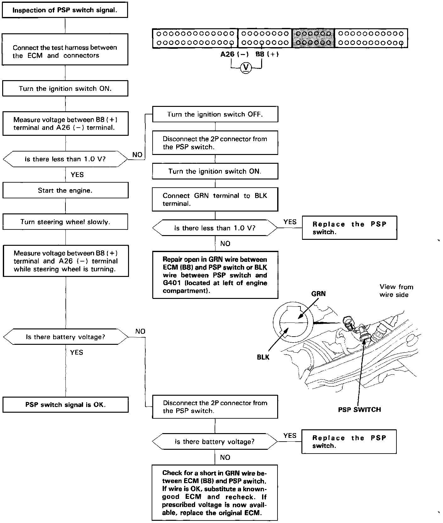
Power Steering Pressure Switch: Testing and Inspection