Curiosii for ever!
: Car repair manuals for everyone.
Home
>>
Honda
>>
1995
>>
Accord Wagon L4-2.2L SOHC VTEC
>>
Repair and Diagnosis
>>
Powertrain Management
>>
Computers and Control Systems
>>
Testing and Inspection
>>
Component Tests and General Diagnostics
>>
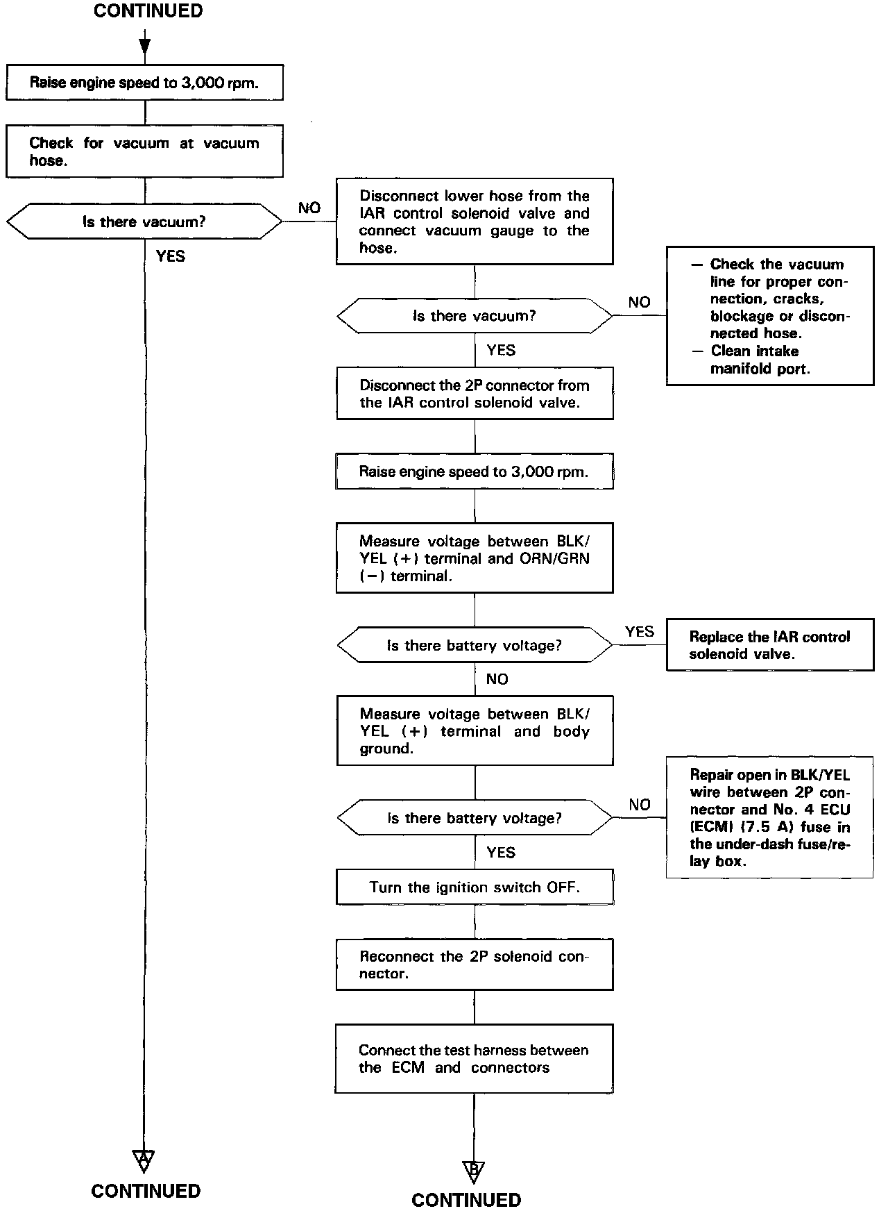
Intake Air Resonator (IAR) Control System
Intake Air Resonator (IAR) Control System