Curiosii for ever!
: Car repair manuals for everyone.
Home
>>
Honda
>>
1994
>>
Del Sol L4-1.6L SOHC (VTEC)
>>
Repair and Diagnosis
>>
Powertrain Management
>>
Computers and Control Systems
>>
Voltage Signal
>>
Testing and Inspection
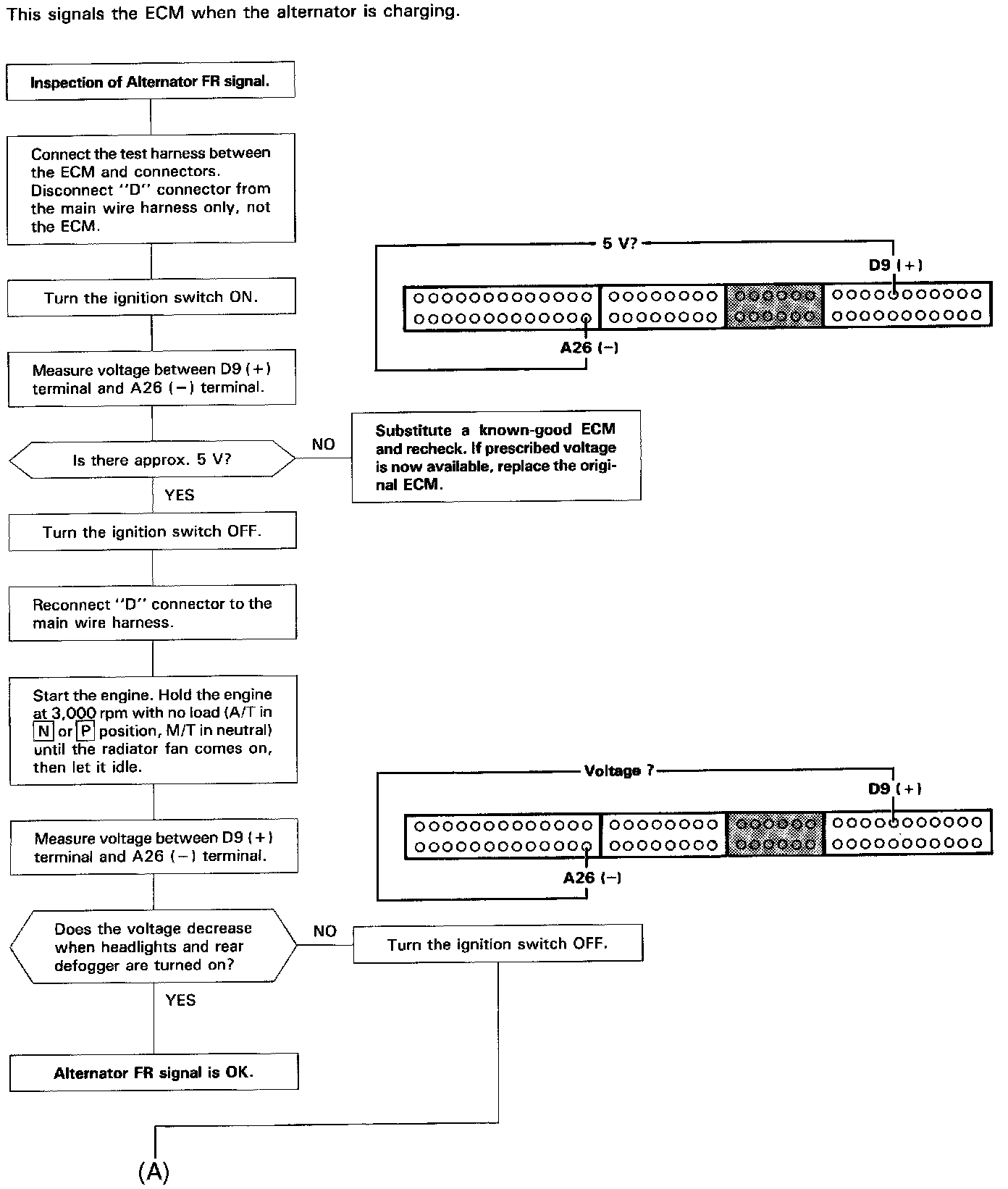
Voltage Signal: Testing and Inspection
Alternator FR Signal Inspection (Part 1 Of 2):
Alternator FR Signal Inspection (Part 2 Of 2):