Curiosii for ever!
: Car repair manuals for everyone.
Home
>>
Honda
>>
1993
>>
Civic L4-1590cc 1.6L SOHC (VTEC)
>>
Repair and Diagnosis
>>
Heating and Air Conditioning
>>
Testing and Inspection
>>
Component Tests and General Diagnostics
>>
Component Testing
>>
Recirculation Control Motor
>>
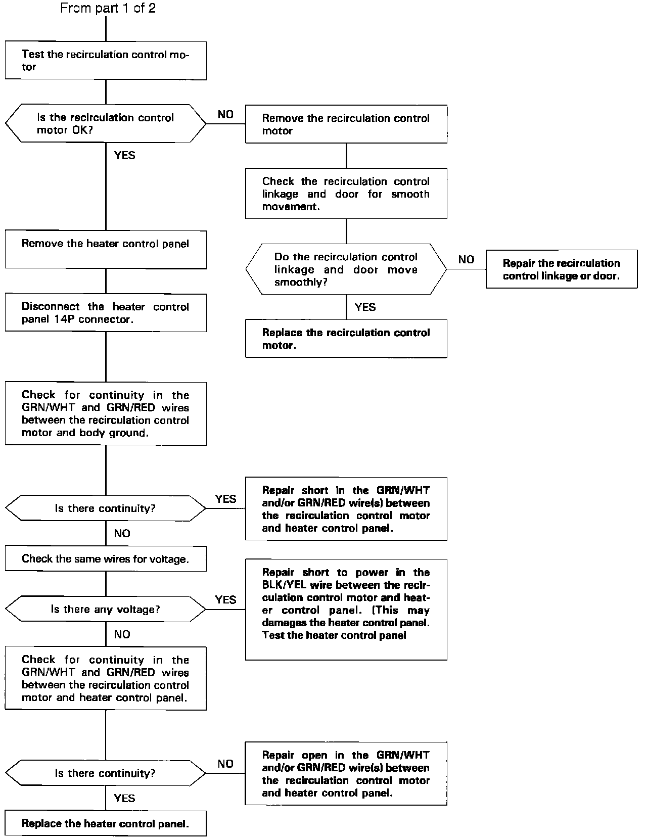
Part 2 of 2
Part 2 of 2
Recirculation Control Motor Flowchart - Part 2 Of 2: