Control Module: Testing and Inspection
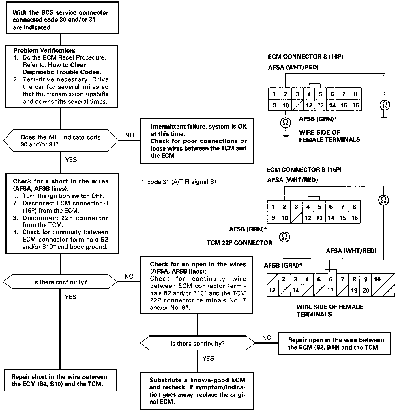
The Malfunction Indicator Lamp (MIL) indicates Diagnostic Trouble Code (DTC) 30 - A problem in the Automatic Transmission (A/T) Fuel Injection (FI) Signal A circuit between Transmission Control Module (TCM) and Engine Control Module (ECM).
The Malfunction Indicator Lamp (MIL) indicates Diagnostic Trouble Code (DTC) 31 - A problem in the A/T FI Signal B circuit between Transmission Control Module (TCM) and ECM.