Curiosii for ever!
: Car repair manuals for everyone.
Home
>>
Honda Truck
>>
1995
>>
Odyssey L4-2.2L SOHC
>>
Repair and Diagnosis
>>
Powertrain Management
>>
Computers and Control Systems
>>
Testing and Inspection
>>
Component Tests and General Diagnostics
>>
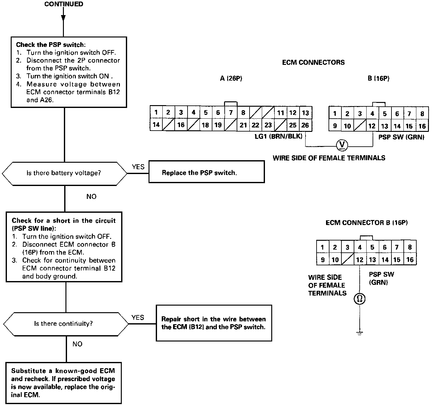
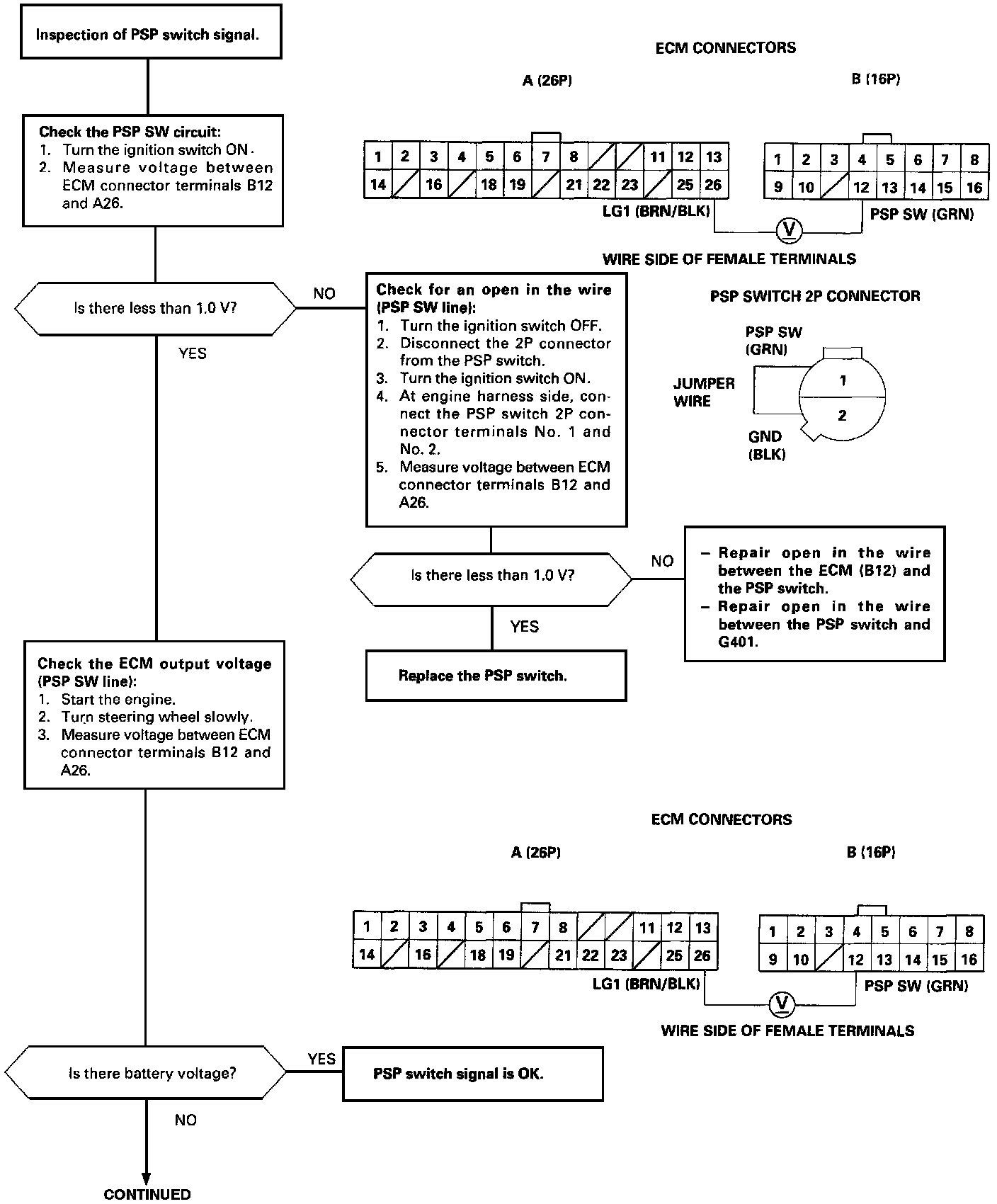
Power Steering Pressure (PSP) Switch Signal
Power Steering Pressure (PSP) Switch Signal
This signals the Engine Control Module
(ECM)
when the Power Steering load is high.