Curiosii for ever!: Car repair manuals for everyone.

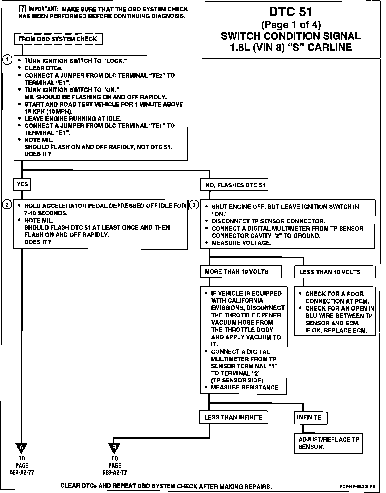
Engine Controls - Manual Update Revised DTC 51 Chart

Group Ref.: Engine Fuel & Emission

Bulletin No.: 336509

Date: December, 1993

SERVICE MANUAL UPDATE

SUBJECT:
SECTION 6E3 - DTC 51 SWITCH CONDITION SIGNAL DIAGNOSTIC CHARTS REVISED

MODEL:
1993-94 GEO PRIZM 1.6L (VIN 6) AND 1.8L (VIN 8)








This bulletin serves to revise the diagnostic charts for DTC 51 on pages 6E3-A1-71 (1.6L VIN 6 RPO L01) and 6E3-A2-75 (1.8L VIN 8 RPO LV6) in the following Geo Prizm service publications:

1993 Geo Prizm Service Manual (ST373-93)

1994 Geo Prizm Service Manual Book 2 (ST373-94-2)