Curiosii for ever!
: Car repair manuals for everyone.
Home
>>
GMC Truck
>>
2013
>>
Terrain FWD V6-3.6L
>>
Repair and Diagnosis
>>
Specifications
>>
Mechanical Specifications
>>
Engine
>>
System Specifications
>>
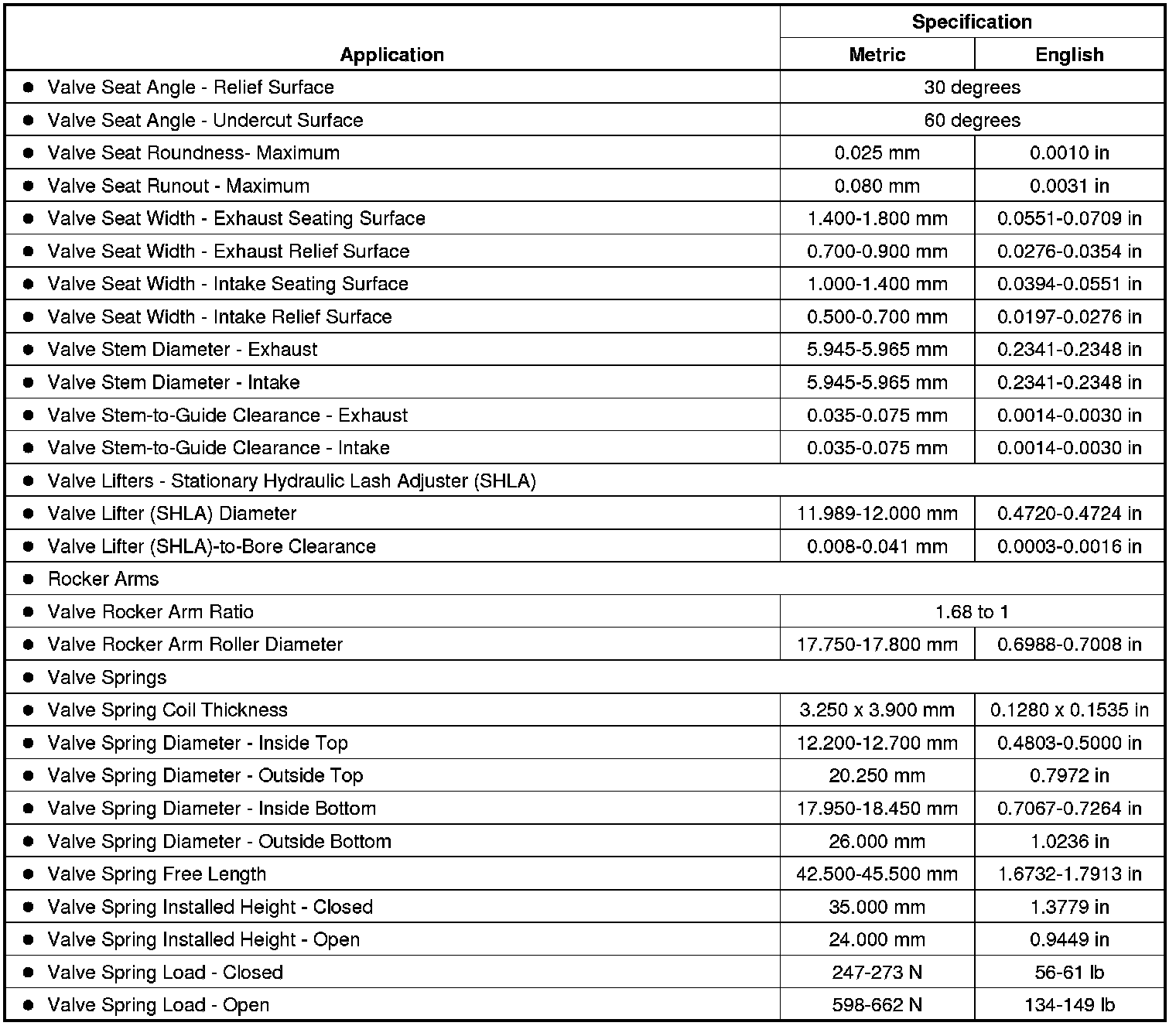
Service Limits & General Specifications
Service Limits & General Specifications
Engine Mechanical Specifications (LFX)