Curiosii for ever!
: Car repair manuals for everyone.
Home
>>
GMC Truck
>>
2012
>>
Sierra 2500 4WD V8-6.0L
>>
Repair and Diagnosis
>>
Specifications
>>
Electrical Specifications
>>
Computers and Control Systems
>>
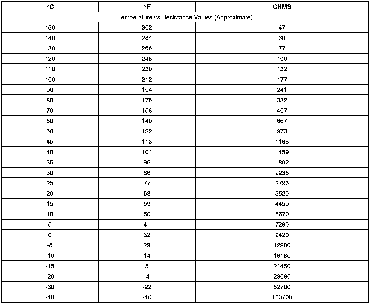
Temperature Versus Resistance
Temperature Versus Resistance
Temperature Versus Resistance