Curiosii for ever!
: Car repair manuals for everyone.
Home
>>
GMC Truck
>>
2010
>>
Terrain FWD L4-2.4L
>>
Repair and Diagnosis
>>
Specifications
>>
Electrical Specifications
>>
Computers and Control Systems
>>
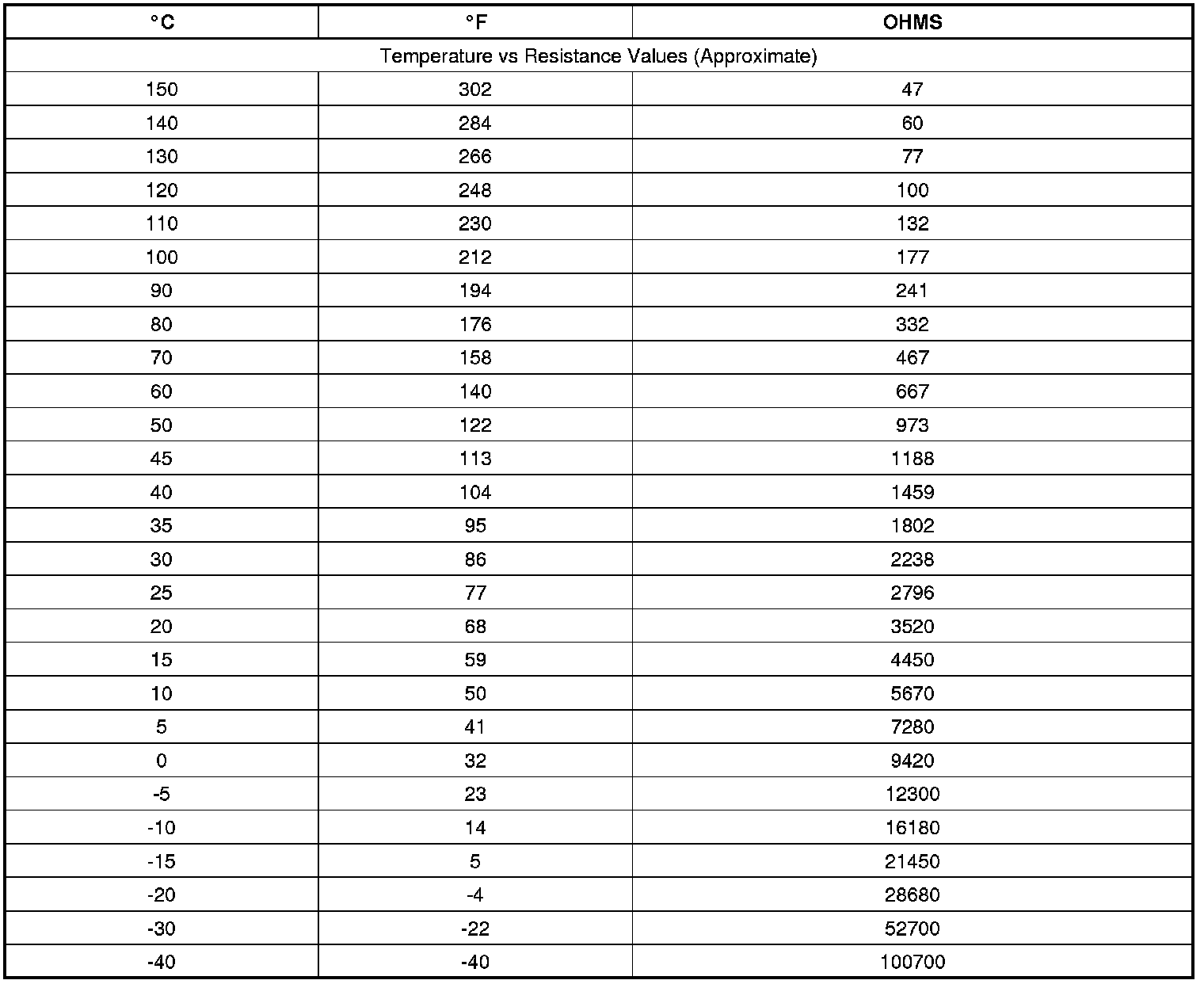
Temperature Versus Resistance - Engine Coolant Temperature Sensor
Temperature Versus Resistance - Engine Coolant Temperature Sensor
Temperature Versus Resistance