Curiosii for ever!
: Car repair manuals for everyone.
Home
>>
GMC Truck
>>
1982
>>
S15,T15 P/U-Jimmy L4-119 1.9L
>>
Repair and Diagnosis
>>
Powertrain Management
>>
Computers and Control Systems
>>
Testing and Inspection
>>
Initial Inspection and Diagnostic Overview
>>
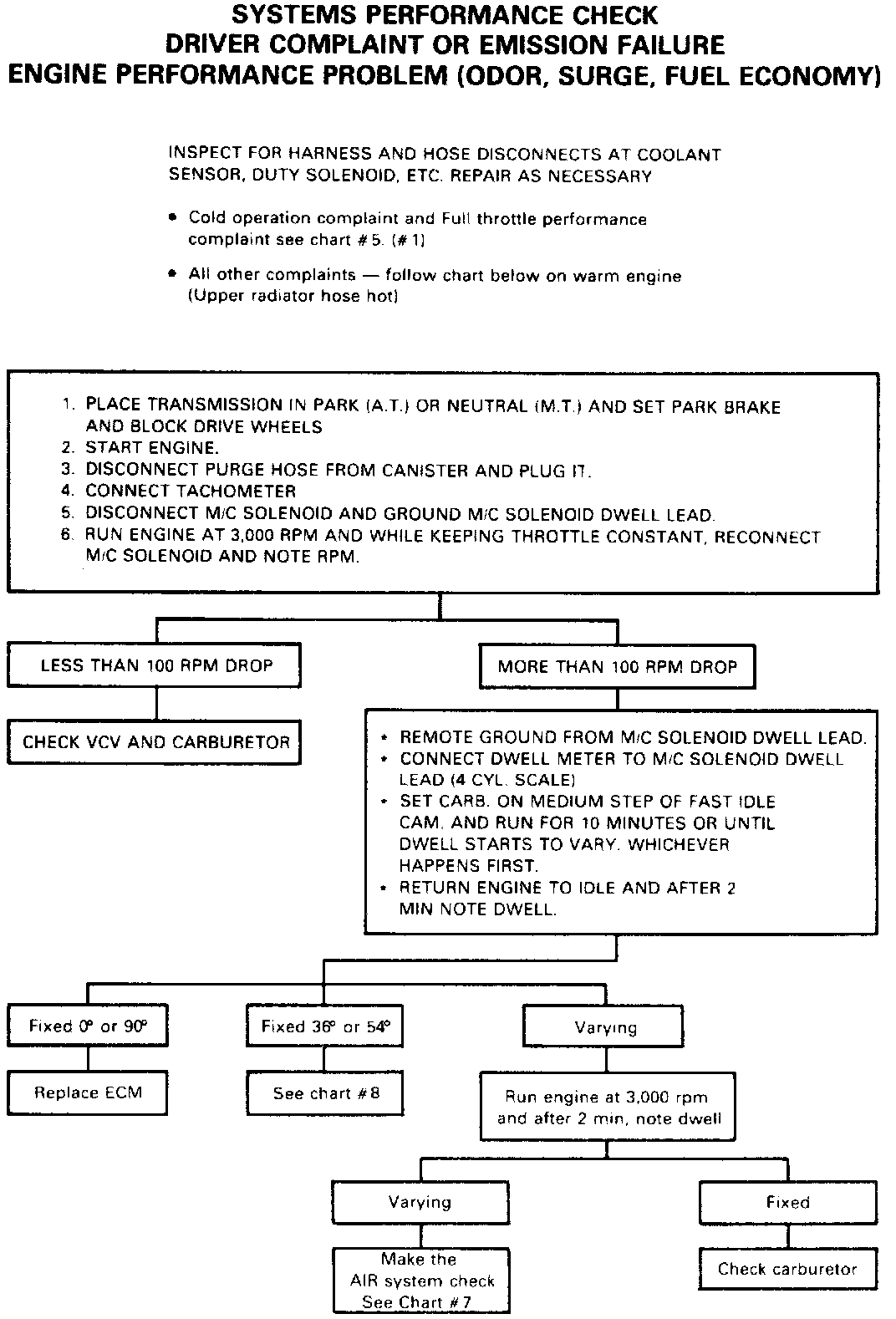
System Performance Check
System Performance Check
Fig. 6 - System Performance Check: