Curiosii for ever!
: Car repair manuals for everyone.
Home
>>
Ford
>>
2007
>>
Taurus V6-3.0L VIN U
>>
Repair and Diagnosis
>>
Powertrain Management
>>
Computers and Control Systems
>>
Testing and Inspection
>>
Pinpoint Tests
>>
Test Z: Intermittent
Test Z: Intermittent
PINPOINT TEST Z: INTERMITTENT
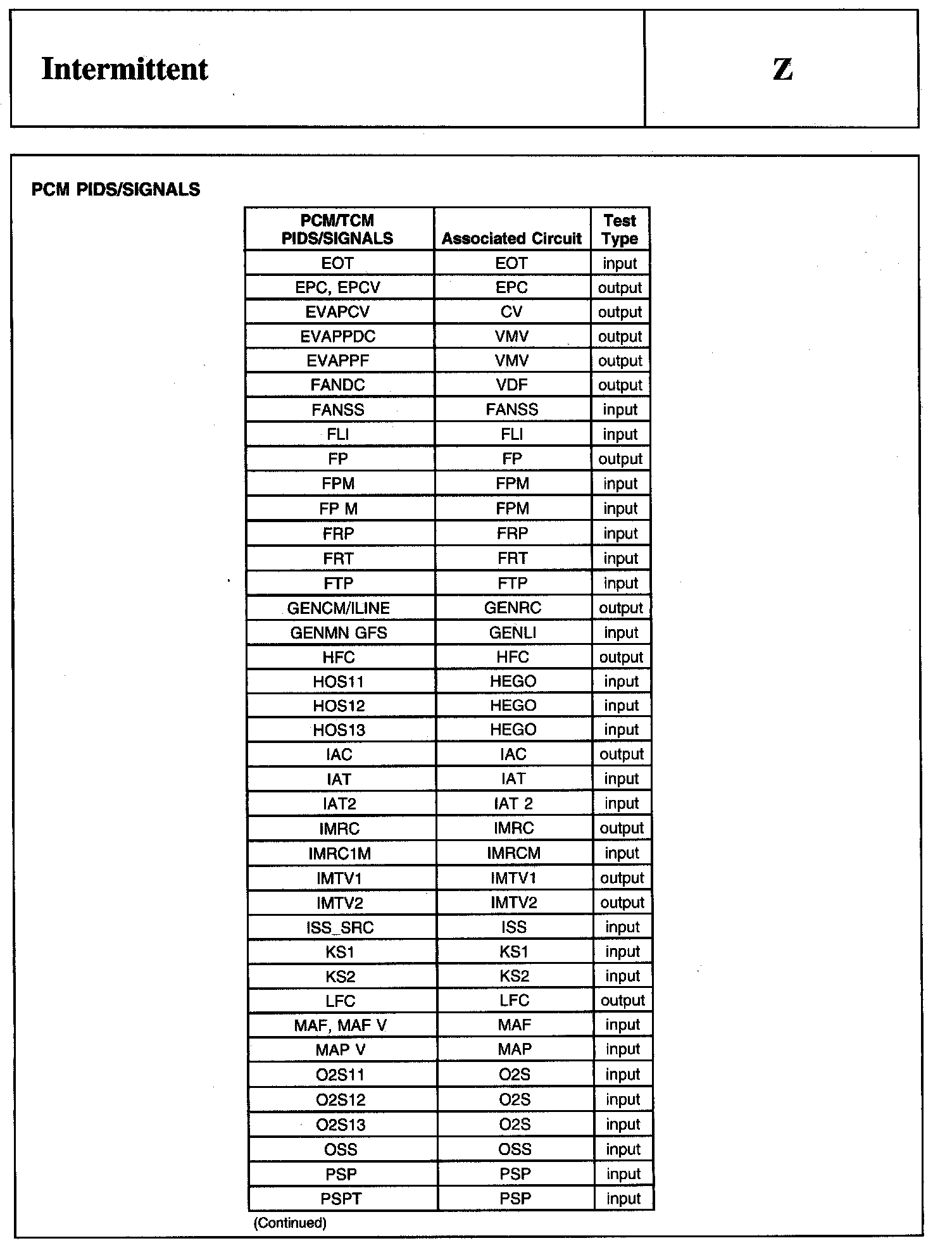
Warning And Table:
Table:
Z1:
Z2-Z5:
Z6-Z8:
Z9-Z10:
Z11-Z12:
Z13-Z14:
Z15:
Z16:
Z17:
Z18-Z19: